風向傳感器
風向傳感器是以風向箭頭的轉動探測、感受外界的風向信息,并將其傳遞給同軸碼盤,同時輸出對應風向相關數值的一種物理裝置。
通常風向傳感器主體都采用風向標的機械結構,當風吹向風向標的尾部的尾翼的時候,風向標的箭頭就會指風吹過來的方向。為了保持對于方向的敏感性,同時還采用不同的內部機構來給風速傳感器辨別方向。通常有以下三類:
電磁式風向傳感器:利用電磁原理設計,由于原理種類較多,所以結構與有所不同,目前部分此類傳感器已經開始利用陀螺儀芯片或者電子羅盤作為基本元件,其測量精度得到了進一步的提高。
光電式風向傳感器:這種風向傳感器采用絕對式格雷碼盤作為基本元件,并且使用了特殊定制的編碼編碼,以光電信號轉換原理,可以準確的輸出相對應的風向信息。
電阻式風向傳感器:這種風向傳感器采用類似滑動變阻器的結構,將產生的電阻值的最大值與最小值分別標成360°與0°,當風向標產生轉動的時候,滑動變阻器的滑桿會隨著頂部的風向標一起轉動,而產生的不同的電壓變化就可以計算出風向的角度或者方向了。
風速傳感器
風速傳感器是一種可以連續測量風速和風量(風量=風速x橫截面積)大小的常見傳感器。
風速傳感器大體上分為機械式(主要有螺旋槳式、風杯式)風速傳感器、熱風式風速傳感器、皮托管風速傳感器和基于聲學原理的超聲波風速傳感器。
螺旋槳式風速傳感器工作原理
我們知道電扇由電動機帶動風扇葉片旋轉,在葉片前后產生一個壓力差,推動氣流流動。螺旋漿式風速計的工作原理恰好與此相反,對準氣流的葉片系統受到風壓的作用,產生一定的扭力矩使葉片系統旋轉。通常螺旋槳式速傳感器通過一組三葉或四葉螺旋槳繞水平軸旋轉來測量風速,螺旋槳一般裝在一個風標的前部,使其旋轉平面始終正對風的來向,它的轉速正比于風速。
風杯式風速傳感器工作原理
風杯式風速傳感器,是一種十分常見的風速傳感器,最早由英國魯賓孫發明。感應部分是由三個或四個圓錐形或半球形的空杯組成。空心杯殼固定在互成120°的三叉星形支架上或互成90°的十字形支架上,杯的凹面順著一個方向排列,整個橫臂架則固定在一根垂直的旋轉軸上。
當風從左方吹來時,風杯1與風向平行,風對風杯1的壓力在最直于風杯軸方向上的分力近似為零。風杯2與3同風向成60度角相交,對風杯2而言,其凹面迎著風,承受的風壓最大;風杯3其凸面迎風,風的繞流作用使其所受風壓比風杯2小,由于風杯2與風杯3在垂直于風杯軸方向上的壓力差,而使風杯開始順時針方向旋轉,風速越大,起始的壓力差越大,產生的加速度越大,風杯轉動越快。
風杯開始轉動后,由于杯2順著風的方向轉動,受風的壓力相對減小,而杯3迎著風以同樣的速度轉動,所受風壓相對增大,風壓差不斷減小,經過一段時間后(風速不變時),作用在三個風杯上的分壓差為零時,風杯就變作勻速轉動。這樣根據風杯的轉速(每秒鐘轉的圈數)就可以確定風速的大小。
當風杯轉動時,帶動同軸的多齒截光盤或磁棒轉動,通過電路得到與風杯轉速成正比的脈沖信號,該脈沖信號由計數器計數,經換算后就能得出實際風速值。目前新型轉杯風速表均是采用三杯的,并且錐形杯的性能比半球形的好,當風速增加時轉杯能迅速增加轉速,以適應氣流速度,風速減小時,由于慣性影響,轉速卻不能立即下降,旋轉式風速表在陣性風里指示的風速一般是偏高的成為過高效應(產生的平均誤差約為10%)
熱式風速傳感器工作原理
熱式風速傳感器以熱絲(鎢絲或鉑絲) 或是以熱膜(鉑或鉻制成薄膜) 為探頭,裸露在被測空氣,并將它接入惠斯頓電橋,通過惠斯頓電橋的電阻或電流的平衡關系,檢測出被測截面空氣的流速。熱膜式風速傳感器的熱膜外涂有極薄 的石英膜絕緣層,以便和流體絕緣,并可防止污染,可在帶有顆粒的氣流中工作,其強度比金屬熱線絲高。
當空氣溫度穩定不變時,熱絲上的耗電功率等于熱絲在空氣中瞬時耗去的熱量。熱絲電阻隨溫度而變化,熱線的電阻和熱線溫度在通常溫度范圍(0~300 ℃) 之內,表現為線性關系。放熱系數與氣流速度有關,流速越大,對應的放熱系數也越大,即散熱快;流速小,則散熱慢。
熱式風速傳感器所測氣流速度是電流與電阻的函數。將電流(或電阻) 保持不變,所測氣流速度僅與電阻(或電流) 一一對應。
熱線式風速傳感器有恒流與恒溫兩種設計電路。
恒溫式熱線風速傳感器較為常用。恒溫法原理是測量過程中保持熱絲溫度恒定,使電橋平衡,此時熱絲電阻保持不變,氣流速度只是電流的單值函數,根據已知的氣流速度與電流的關系可求得通過末端裝置的氣流速度。
恒流式熱線風速傳感器在測量過程中保持流經熱絲的電流值不變。當電流值不變時,氣流速度僅僅與熱絲電阻有關。根據已知的氣流速度與熱絲電阻的關系可求得通過風速傳感器的氣流速度。
熱線式風速傳感器可測量脈動風速。恒流式風速傳感器熱慣性較大,恒溫式風速傳感器的熱慣性相對較小,具有較高的速度響應。熱線式風速傳感器的測量精度均不很高, 使用時要注意溫度補償。
皮托管風速傳感器工作原理
皮托管,又名“空速管”,“風速管”,是測量氣流總壓和靜壓以確定氣流速度的一種管狀裝置,由法國H.皮托發明而得名。
用實驗方法直接測量氣流的速度比較困難,但氣流的壓力則可以用測壓計方便地測出。它主要是用來測量飛機速度的,同時還兼具其他多種功能。因此,可用皮托管測量壓力,再應用伯努利定理算出氣流的速度。
皮托管由一個圓頭的雙層套管組成(見圖),外套管直徑為D,在圓頭中心O處開一與內套管相連的總壓孔,聯接測壓計的一頭,孔的直徑為0.3~0.6D。在外套管側表面距O約3~8D的C處沿周向均勻地開一排與外管壁垂直的靜壓孔,聯接測壓計另一頭,將皮托管安放在欲測速度的定常氣流中,使管軸與氣流的方向一致,管子前緣對著來流。當氣流接近O點處,其流速逐漸減低,流至O點滯止為零。
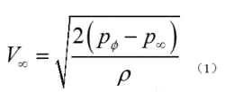
所以O點測出的是總壓P。其次,由于管子很細,C點距O點充分遠,因此C點處的速度和壓力已經基本上恢復到同來流速度V和壓力P相等的數值,因而在C點測出的是靜壓。對于低速流動(流體可近似地認為是不可壓縮的),由伯努利定理得確定流速的公式為:
根據測壓計測出的總壓和靜壓差P-P,以及流體的密 度ρ,可以按照式(1)求出氣流的速度。
超聲波風速傳感器工作原理
超聲波風速傳感器的工作原理是利用超聲波時差法來實現風速的測量。由于聲音在空氣中的傳播速度,會和風向上的氣流速度疊加。
假如超聲波的傳播方向與風向相同,那么它的速度會加快;反之,若超聲波的傳播方向若與風向相反,那么它的速度會變慢。所以,在固定的檢測條件下,超聲波在空氣中傳播的速度可以和風速函數對應。
通過計算即可得到精確的風速和風向。由于聲波在空氣中傳播時,它的速度受溫度的影響很大;風速傳感器檢測兩個通道上的兩個相反方向,因此溫度對聲波速度產生的影響可以忽略不計。
超聲波風速傳感器它具有重量輕、沒有任何移動部件、堅固耐用的特點, 而且不需維護和現場校準,能同時輸出風速和風向。客戶可根據需要選擇風速單位、 輸出頻率及輸出格式。
也可根據需要選擇加熱裝置(在冰冷環境下推薦使用)或模擬輸出。可以與電腦、數據采集器或其它具有RS485或模擬輸出相符合的采集設備連用。如果需要,也可以多臺組成一個網絡進行使用。
超聲波風速風向儀是一種較為先進的測量風速風向的儀器。由于它很好地克服了機械式風速風向儀固有的缺陷, 因而能全天候地、長久地正常工作,越來越廣泛地得到使用。它將是機械式風速儀的強有力替代品。
超聲波風速傳感器特點:
1、采用聲波相位補償技術,精度更高;
2、采用隨機誤差識別技術,大風下也可保證測量的低離散誤差,使輸出更平穩;
3、針對細雨,濃霧天氣的測量補償技術,具有更強的環境適應力;
4、數字濾波技術,抗電磁干擾能力更強;
5、無啟動風速限制,零風速工作,適合室內微風的測量,無角度限制(360°全方位),同時獲得風速、風向的數據;
6、測量精度高;性能穩定;低功耗不需校準;
7、結構堅固,儀器抗腐蝕性強,在安裝和使用時無需擔心損壞;
8、設計靈活,輕巧,攜帶輕便,安裝、拆卸容易;
9、信號接入方便,同時提供數字和模擬兩種信號;
10、不需維護和現場校準, 真正的0~359°工作 (無死角)。
風向風速傳感器的應用
風向傳感器和風速傳感器雖然是兩種完全獨立的傳感器,但大多數情況下,這兩種傳感器是整合在同一測量設備中,通過綜合處理數據信息,共同發揮作用的。
風向風速傳感器在氣象領域的應用
在氣象領域,通常需要對許多種自然現象進行觀察,如風速與氣象的變化,當然還有風向的變化,對于風向的測量工作,現在基本是使用風向儀或者風向傳感器設備來解決這個問題。
地面風向變化的測量:在沙漠、高原地區的風沙治理工作中,通常人們需要注意氣流流動的速度與風向的變化,這樣可以掌握到更多的氣象數據,一邊制定更完善的治理方案,所以在整個過程中用到風向傳感器這種氣象設備。
海洋風暴預警:可以說海洋氣象預警系統是風向傳感器在氣象領域重要應用之一,它為海洋氣象預警系統提供的風向變化數據,是預測臺風覆蓋范圍以及“運行”軌跡的重要參數之一
風向風速傳感器在煤礦領域的應用
安裝在礦井中的通風設備,往往型號不一,而且其工作功率也有著較大的差別,所以需要使用風速傳感器設備對各個通風道的風速值進行監視,防止某個位置的通風率過低而出現的有害氣體濃度過高的現象出現。
其實為了確保各大、中、小型煤礦生產工作安全的進行,根據相關規定,在煤礦中應該安裝風速傳感器設備,在每一個采礦區、翼回風巷以及總回風巷都應該設置風速傳感器設備,而掘進工作面就屬于采礦區的一部分,因此掘進工作面,是需要安裝風速傳感器的。
其實在掘進面中需要安裝風速傳感器還有一個主要的原因,就是通常煤礦中的甲烷、一氧化碳、瓦斯等有害氣體往往從掘進面出現的概率最大,甚至有些氣體在地下形成的“氣室”中的氣體直接就是一些有害性氣體,因此煤礦中需要在每個位置都安裝風速傳感器并連接通風設備。
風向風速傳感器在風力發電領域的應用
現代化的大型風力發電機為了能夠更好的利用風力資源,通常葉輪方向的控制已經不是用尾翼進行的,而是通過風向傳感器來完成這個角度的控制,通常風向傳感器 需要安裝在風電機組頂部,但需要防止葉輪阻礙傳感器進行測量,如果傳感器的高度達到一定程度的時候,人們還需要注意對發電機組以及傳感器進行防雷、防漏電處理。
通常風力場附近安裝的風向傳感器有以下兩個主要用途:
1、保障風力發電機葉片可以實時正對風向角,確保事實都在正常工作狀態。
2、在風電場附近的氣象站設備上的風向測量儀器可以確保大風天氣不會對風電機組構成威脅。
風向風速傳感器在塔式起重機領域的應用
通常,為了確保建筑工程的進行,大多數的塔式起重機通常都會安裝風速傳感器設備,它的存在可以讓起重機在大風影響起重機工作的時候,發出報警,但是當大風已經開始影響起重機工作的時候,往往就需要注意風向的變化,這樣才能針對不同風向的風做出應對措施,所以部分起重機上面已經使用了風向傳感器設備。
風向風速傳感器在空調及通風設備領域的應用
變風量末端裝置是變風量空調系統的主要設備之一。風速傳感器又是變風量末端裝置的關鍵部件,因此,風速傳感器的類型與性能直接影響系統風量的檢測和控制質量。目前,我國及歐美各廠家的變風量末端裝置均采用皮托管式風速傳感器,而日本各廠家多不采用皮托管式風速傳感器。
風向風速傳感器在航空領域的應用
飛機上的“空速管”是一種典型的皮托管風速傳感器,是飛機上極為重要的測量工具。它的安裝位置一定要在飛機外面氣流較少受到飛機影響的區域,一般在機頭正前方,垂尾或翼尖前方。當飛機向前飛行時,氣流便沖進空速管,在管子末端的感應器會感受到氣流的沖擊力量,即動壓。飛機飛得越快,動壓就越大。
如果將空氣靜止時的壓力即靜壓和動壓相比就可以知道沖進來的空氣有多快,也就是飛機飛得有多快。比較兩種壓力的工具是一個用上下兩片很薄的金屬片制成的表面帶波紋的空心圓形盒子,稱為膜盒。
這盒子是密封的,但有一根管子與空速管相連。如果飛機速度快,動壓便增大,膜盒內壓力增加,膜盒會鼓起來。用一個由小杠桿和齒輪等組成的裝置可以將膜盒的變形測量出來并用指針顯示,這就是最簡單的飛機空速表。
空速管測量出來的靜壓還可以用來作為高度表的計算參數。如果膜盒完全密封,里面的壓力始終保持相當于地面空氣的壓力。這樣當飛機飛到空中,高度增加,空速管測得的靜壓下降,膜盒便會鼓起來,測量膜盒的變形即可測得飛機高度。這種高度表稱為氣壓式高度表。
空速管測量出來的速度并非是飛機真正相對于地面的速度,而只是相對于大氣的速度,所以稱為空速。如果有風,飛機相對地面的速度(稱地速)還應加上風速(順風飛行)或減去風速(逆風飛行)。
結語
結合物聯網、大數據、AI技術等,相信不久的將來,各種新式的、智能的風向風速傳感器將會越來越多地應用在建筑機械、鐵路、港口、碼頭、電廠、氣象、索道、環境、溫室、養殖等各個領域,實時監控并進行智能調節。


返回頂部
刷新頁面
下到頁底