初學者PLC必須掌握的幾個梯形圖,簡單但是很實用
1啟動、保持、停止電路

2.三相異步電機正反轉控制電路

3.閃爍電路

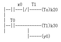
4.延時接通/斷開電路

5. DF上升沿微分,DFI下降沿微分
DF:當檢測到輸入觸發信號的上升沿時,僅將觸點閉合一個掃描周期。
DFI:當檢測到輸入觸發信號的下降沿時,僅將觸點閉合一個掃描周期。

示例說明
在檢測到 X0的上升沿(OFF→ON)時,Y0僅為 ON一個掃描周期。
在檢測到 X1的下降沿(ON→OFF)時,Y1僅為 ON一個掃描周期。
描述
當觸發信號狀態從 OFF 狀態到 ON狀態變化時,DF 指令才執行并且輸出僅接通一個掃描周期。
當觸發信號狀態從 ON狀態到 OFF 狀態變化時,DFI 指令才執行并且輸出僅接通一個掃描周期。
若執行條件最初即為閉合,則 PLC接通電源,則不會產生輸出。
編程時的注意事項
DF 和 DFI 指令的使用次數有限制,CX1-16R使用這兩個指令的次數之和最多為 128 次。
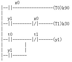
6、微分指令的應用示例
如果采用微分指令編程,可以使程序調試更加簡單。
自保持回路應用示例
使用微分指令可以保持輸入信號。
7、交替回路應用示例
使用微分指令也可以構成一個交替變化回路,實現利用同一個輸入信號切換進行保持或釋放。



返回頂部
刷新頁面
下到頁底