用RC選頻網絡實現正弦振蕩的電路如圖所示。

電路由三部分組成:放大器A部分;RC串并聯網絡:形成正反饋;二只電阻構成了負反饋支路:穩定振蕩幅度。
電路是如何振蕩起來的呢?
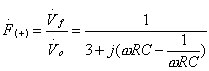
RC串并聯網絡的頻率特性可用下式表示:

當參數選取R1=R2=R,C1=C2=C后,
,令
,則
正反饋網絡的幅頻表達式:
,
正反饋網絡的相頻表達式:
頻率特性如下圖所示:
由圖說明:(1)當
時,電路為正反饋,而且正反饋最強。所以,只有在此時才能產生單一頻率的振蕩。
(2)
時,
所以有
,這又說明,只要有大于3倍的閉環增益,電路就能起振。3倍的閉環增益可方便地通過調節負反饋網絡的兩只電阻實現。起振后,如不加穩幅措施,則輸出幅度會越來越大,最終出現非線性失真(飽和和截止失真)→停振→又慢慢起振→......。
穩幅過程實際上是使環路增益自動保持在1(即
=1)的過程。當輸出幅度增加時,希望負反饋加強;幅度減少時,負反饋度弱。這個過程可由負反饋網絡實現,如
固定 ,則
用負溫度系數的熱敏電阻;如
固定 ,則
用正溫度系數的熱敏電阻。


返回頂部
刷新頁面
下到頁底