帶電粒子在勻強磁場中的運動是高考物理常見考題,在這篇文章中,我們把一些關鍵的物理量及解題思路做一個梳理。
關鍵物理量梳理
洛倫茲力
當電荷速度方向與磁場方向垂直時,洛倫茲力的大小f=Bvq;當電荷運動方向與磁場方向夾角為θ時,洛倫茲力的大小f=Bvqsinθ;不難看出,洛倫茲力最大的特點就是大小與速度有關。
磁場對靜止的電荷無作用力,磁場只對運動電荷有作用力,這與電場對其中的靜止電荷或運動電荷總有電場力的作用是不同的。
洛倫茲力的方向始終與運動的速度方向垂直,可通過左手定則來判定。
帶電粒子在洛倫茲力的作用下(充當向心力),可以做勻速率圓周運動。
荷質比
帶電粒子的電荷量和其質量的比值叫荷質比,即k=q/m。對某種固定的粒子,其荷質比是常量。例如,電子的比荷為e/me=1.758×10^11C/kg。
偏轉半徑
帶電粒子在勻強磁場中的運動,在只有洛倫茲力作用下,粒子做圓周偏轉,其半徑公式為:
由此可見,粒子的半徑僅與荷質比、速度、磁場大小相關。
偏轉角
粒子在偏轉中,與原始速度矢量間夾角稱之為偏轉角。如下圖所示,經歷了一段圓弧的偏轉后,粒子的偏轉角為30°;
需要注意的是,粒子偏轉角等于其偏轉弧所對應的圓心角。這是初中幾何中講過的弦切角定理。

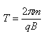
周期
帶電粒子在勻強磁場中的運動,在只有洛倫茲力作用下,粒子做圓周偏轉,其周期公式為:

解題思路梳理
帶電粒子在勻強磁場中的運動類問題通用解題步驟
(1)明確軌跡。
帶電粒子運動為圓周運動,需要同學們首先確定好運動軌跡。有些題是沒有明確告訴你軌跡的,需要你自己分析,自己去畫圖(草圖),有時候畫出來圖還要接著修改。
(2)找圓心。
確定了大致的運動軌跡,就開始研究圓心。圓心一般是兩個點的速度的垂線交點。
(3)構建合適的三角形。
結合題意條件,構建一個直角三角形,并在其中表述偏轉半徑R;一般要用到很多幾何知識。
(4)結合偏轉半徑的物理公式進行求解。
有了半徑R之后,結合上述物理公式R=mv/Bq;就可以求解出來你需要的物理量了。
解題中三個物理量的確定

⒈圓心的確定
圓心一定在與速度方向垂直的直線上,根據入射點和出射點的速度方向做出垂線,交點即為圓心。
⒉半徑的計算
一般是利用幾何知識解直角三角形。
⒊帶電粒子在有界磁場中運動時間的確定
利用圓心角和弦切角的關系或四邊形內角和等于360度或速度的偏向角(帶電粒子射出磁場的速度方向與射入磁場的速度方向之間的夾角)等于圓弧軌道所對的圓心角,再由公式t/T=θ/360來求運動時間。
找圓心、畫軌跡是解題的基礎
帶電粒子垂直于磁場進入一勻強磁場后在洛倫茲力作用下必作勻速圓周運動,抓住運動中的任兩點處的速度,分別作出各速度的垂線,則二垂線的交點必為圓心;或者用垂徑定理及一處速度的垂線也可找出圓心;再利用數學知識求出圓周運動的半徑及粒子經過的圓心角從而解答物理問題。
導致軌道半徑變化的原因歸納
①帶電粒子速度變化導致半徑變化。如帶電粒子穿過極板速度變化;帶電粒子使空氣電離導致速度變化;回旋加速器加速帶電粒子等。
②磁場變化導致半徑變化。如通電導線周圍磁場,不同區域的勻強磁場不同;磁場隨時間變化。
③動量變化導致半徑變化。如粒子裂變,或者與別的粒子碰撞;
④電量變化導致半徑變化。如吸收電荷等。總之,由看m、v、q、B中某個量或某兩個量的乘積或比值的變化就會導致帶電粒子的軌道半徑變化。
臨界問題解題思路
帶電粒子在磁場中運動的臨界問題的原因有:粒子運動范圍的空間臨界問題;磁場所占據范圍的空間臨界問題,運動電荷相遇的時空臨界問題等。審題時應注意恰好,最大、最多、至少等關鍵字。
尋找產生極值的條件的常用思路梳理:
①直徑是圓的最大弦;
②同一圓中大弦對應大的圓心角;
③由軌跡確定半徑的極值。


返回頂部
刷新頁面
下到頁底