1、信號在傳輸過程中,可能產生線性和非線性兩種失真。
線性失真又稱為頻率失真,是由于器件內部電抗效應和外部電抗元件的存在,而使得電路對同一信號中不同的頻率分量的傳輸系數不同或相位移不同而引起的。
非線性失真是由于器件的非線性引起的。兩種失真的區別在于非線性失真使得電路的輸出信號中產生了不同于輸入信號的新的頻率成分,而線性失真則不會產生新的頻率成分。
2、線性失真用電路的頻率特性表示,失真度的測量是指非線性失真的程度的測量。
衡量非線性失真的大小,常用非線性失真系數(失真度)
表示,它的定義為:

式中U1為基波分量電壓有效值。U2,U3,…,UN分別為二次、三次……N次諧波分量電壓有效值。
由于在實際工作中測量被測信號的基波電壓有效值比較困難,而一般測量被測信號的電壓有效值比較容易,因此,常用的測試非線性失真的大小的儀器——失真度測試儀——測出的非線性失真系數為
0。

即
o為被測信號中各次諧波電壓有效值與被測信號電壓有效值之比的百分數。
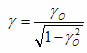
和
o的關系為:

當
0<0%時,
=
0,當
0>0%時,則應按上式計算
信號的失真。
失真度既可以表征電路的特性,又可以表征非正弦信號與正弦信號的差別,用失真度來表征一個正弦振蕩器的輸出波形的好壞就是一個例子。一般,人耳對音樂能覺察0.7%左右的失真度;對語言能分辨3%~5%的失真度。對于音頻設備,常要求失真度在0.5%~0.8%以下。


返回頂部
刷新頁面
下到頁底