概述
巴倫 (英語為“balun”,由balanced(平衡)”的前三個字母“bal”與“unbalanced(不平衡)”的兩個字母“un”組合而成)為一種三端口器件,或者說是一種通過將匹配輸入轉換為差分輸出而實現平衡傳輸線電路與不平衡傳輸線電路之間的連接的寬帶射頻傳輸線變壓器。巴倫的功能在于使系統具有不同阻抗或與差分/單端信令兼容,并且用于手機和數據傳輸網絡等現代通信系統。
功能
巴倫具有如下三項基本功能:
1. 將電流或電壓從不平衡轉換至平衡
2. 通過某些構造進行共模電流抑制
3. 通過某些構造進行阻抗轉換(阻抗比不等于1:1)
巴倫分為多種類型,其中的某些用于阻抗轉換,還有某些用于連接具有不同阻抗的傳輸線。阻抗轉換巴倫可實現阻抗匹配、直流隔離以及將平衡端口與單端端口匹配。共模扼流圈因為可消除共模信號,因此在某種意義上說也是一種巴倫。巴倫用于推挽放大器、寬帶天線、平衡混頻器、平衡倍頻器及調制器、移相器以及任何需要在兩條線路上傳輸幅度相等且相位相差180度的電路設計。
用途
巴倫的最常見用途為將不平衡信號連入用于長距離傳輸的平衡傳輸線。與采用同軸電纜的單端信令相比,采用平衡傳輸線的差分信令受噪聲和串擾的影響更小,可使用更低的電壓,而且成本效益更高。因此,巴倫可用作本地視頻、音頻及數字信號與長距離傳輸線之間的接口。巴倫的用途包括:
– 無線電及基帶視頻
– 雷達、發射機、衛星
– 電話網絡、無線網絡調制解調器/路由器
原理
巴倫的理想S參數如下:
S12 = – S13 = S21 = – S31
S11 = -∞

巴倫的兩個輸出幅度相等,相位相反:
– 在頻域中,這表示兩個輸出之間具有180°的相位偏移;
– 在時域中,這表示一個平衡輸出的電壓為另一平衡輸出的負值。
此外,兩條線路當中的一條的導體須明確接地。
舉例而言,平衡線路由電位幅度相等且相位相反的導體構成。由于微帶線和同軸電纜采用不同尺寸的導體,因此可謂不平衡線路。巴倫的設計目的正是在于解決此類不平衡線路導致的問題——巴倫可在電流以相反相位傳輸的平衡(或差分)傳輸線與返回電流經地下傳輸的不平衡(或單端)傳輸線之間轉換。
在同軸電纜內部,由于內導體與屏蔽層內側的電流所產生的電場局限于此兩者之間的空間內,因此該兩電流幅度相等且相位相反。與此同時,趨膚效應使得屏蔽層外側產生另一電流,當該電流較大時,可使得作為饋電線的所述同軸電纜成為天線,向外輻射強度與電流大小成正比的電磁場。由于同軸電纜具有對稱的物理結構,而且其內部兩導體上的電路幅度相等且相位相反,因此其內部結構本身產生的輻射極小。然而,某些因素可破壞其兩導體內的電流平衡(即破壞“幅度相等,相位相反”這一狀態),在此情況下,該饋電線內部也將如屏蔽層外側的電流一樣產生較大電磁輻射。這一不平衡現象將導致方向圖扭曲,干擾以及損耗。
為具體應用確定巴倫種類時的關鍵規格參數包括:
- 頻率覆蓋范圍
- 相位平衡度
- 幅度平衡度
- 共模抑制比
- 阻抗比/匝數比
- 插入損耗及回波損耗
- 平衡端口隔離度
- 直流/對地隔離度
- 群延遲平坦度
巴倫性能指標
巴倫分為多種類型,微波射頻設計中使用的巴倫類型取決于所需的帶寬,工作頻率以及該設計的物理結構。大多數巴倫內部通常含有兩根相互絞合后纏繞于磁性或非磁性芯體上的絕緣銅線。
為特定應用確定巴倫種類時的關鍵規格參數包括:/strong>
- > 頻率覆蓋范圍
- > 相位平衡度
- > 幅度平衡度
- > 共模抑制比
- > 阻抗比/匝數比
- > 插入損耗及回波損耗
- > 平衡端口隔離度
- > 直流/對地隔離度
- > 群延遲平坦度
相位平衡度
巴倫的一項重要標準指標為其平衡性,即兩個平衡輸出(一個為反相180°輸出,另一個為非反相輸出)與“功率水平相等,相位相差180°”這一理想狀態的接近程度。兩個輸出之間的相位角度差與180°的偏離程度稱為巴倫的相位不平衡度。
幅度平衡度
該項指標由巴倫的結構和線路匹配程度決定,通常以dB為單位。幅度平衡是指輸出功率的大小之間相匹配,兩輸出功率大小之間的差值稱為幅度不平衡度,單位為dB。一般情況下,幅度平衡度每提高0.1dB,或相位平衡度每提高1°,則共模抑制比(CMRR)將提高0.1dB。
共模抑制比(CMRR)
當具有相同相位的兩個相同信號注入巴倫的平衡端口時,可能會產生發射或接收兩種不同的結果。CMRR是指該信號從平衡端口傳輸至不平衡端口的過程中所發生的衰減量,單位為dB。CMRR由此兩信號的矢量相加結果決定,而該矢量相加結果進一步取決于巴倫的幅度平衡度和相位平衡度。
阻抗比/匝數比
不平衡阻抗與平衡阻抗之比通常以1:n表示。差分阻抗為平衡信號線路之間的阻抗,而且為信號線路對地阻抗的兩倍。匝數比為磁通耦合巴倫變壓器的一項參數,其表示該變壓器初級繞組匝數與次級繞組匝數的比值。匝數比的平方等于阻抗比,比如當匝數比為1:2時,阻抗比為1:4。通過磁通耦合變壓器,可設計出高阻抗比的巴倫。
插入損耗及回波損耗
差分插入損耗越低,共模回波損耗越高,則表示通過巴倫的插入信號功率越大,動態范圍越寬,信號失真度越小。在無隔離的理想巴倫中,共模信號可以0dB的回波損耗完全反射,而差分信號則以-∞的回波損耗完整通過。
平衡端口隔離度
平衡端口隔離度是指從一個平衡端口至另一平衡端口的插入損耗,單位為dB。由于大部分巴倫將偶模反射而出,而非以電阻性負載對其進行適當端接,因此其平衡端口隔離度并不高。一種例外情形為180°混合電路,該電路將偶模輸出至可以電阻方式端接的端口。
基本類型的巴倫
微波射頻設計中使用的巴倫類型取決于所需的帶寬,工作頻率以及該設計的物理結構。差分功率分配用途中可使用的巴倫類型為變壓器巴倫、電容和/或磁耦合傳輸線巴倫、混合耦合器巴倫,而且此類巴倫還可用于功分器及逆變器聯用的情形中。巴倫的用途廣泛,下至單端信號和差分信號之間的轉換,上至模式噪聲和信號的消除。對于巴倫而言,最重要的特性為其功率平衡度和相位平衡度。
磁通耦合變壓器巴倫為最常見的一類巴倫,其基本上由磁芯及纏繞于磁芯上的兩條不同導線構成,其中,通過將初級繞組的一側接地,在初級側產生不平衡條件,并在次級側產生平衡條件。次級側匝數與初級側匝數之比可任意設置,從而產生任何所需的阻抗比。磁通耦合巴倫變壓器次級側產生的交流電壓n倍于初級側的電壓,且電流相應地為初級側電流的1/n,從而如上所述,產生n2倍的輸出阻抗,其中,n為次級側匝數與初級側匝數之比。
上述繞線式磁通耦合變壓器的次級繞組中通常設有接地的中心抽頭,這一設計可改善輸出平衡性。
舉例而言,磁通耦合變壓器最適合的工作頻率為1GHz以下,當在更高頻率下工作時,常發生耦合損耗。在微波頻率下,變壓器內的磁性材料的損耗角正切較高,因此導致較大的信號損耗。因此,通常由纏繞于磁芯上的雙路傳輸線構成的電容性耦合傳輸線巴倫,如瓜內拉(Guanella)巴倫通過低頻磁耦合與高頻電容性耦合解決高頻下的上述問題。

微波應用中經常使用的一種巴倫為馬相(Marchand)巴倫。《各類螺旋巴倫》這一視頻對交纏、對稱及Marchand螺旋巴倫的概況以及GaAs MMIC平面螺旋巴倫的設計和模擬結果進行了介紹。
經典變壓器巴倫
經典變壓器也稱隔離變壓器,其內具有兩個纏繞于變壓器芯上的獨立線圈繞組,該芯既可以為空(空氣芯),也可由陶瓷等磁性中性材料、磁導體或軟鐵構成。其中,初級繞組接收輸入信號,而次級繞組輸出轉換后的信號。在理想的變壓器中,無論如何變化,電壓與電流的比值永遠與繞組匝數比的平方成正比,而且功率(單位為瓦特)永遠保持不變。
優點:由于輸入繞組和輸出繞組之間電氣隔離,因此該巴倫可用于連接地平電壓存在接地回路問題或電氣不兼容問題的電路。
自耦變壓器巴倫(電壓巴倫)
自耦變壓器巴倫具有一個線圈,或具有兩個或兩個以上的線圈,這些線圈的電接線也纏繞于鐵氧體棒芯或環芯上。當僅有一個繞組時,該繞組兩端之間必須設置至少一個額外的電氣接頭或分接點。在該巴倫中,通過一對電連線輸入的輸入電流起到初級線圈的作用,并用于芯體的磁化。
優點:與其他變壓器類型的巴倫不同,自耦變壓器巴倫所有末端均可將直流電流接地。
傳輸線變壓器巴倫(扼流圈巴倫)
此類型巴倫有時也稱電流巴倫,其可保證兩個輸出端的輸出電流相等,但輸出電壓不一定相等。同軸電纜內部的電流大小相等且相位相反,因此其所產生的磁場強度相等且方向相反,而且在大部分情況下可相互抵消。當將變壓器巴倫與傳輸線變壓器巴倫組合時,可實現極寬的工作帶寬。人們常將Guanella傳輸線變壓器和巴倫組合用作阻抗匹配變壓器。
優點:扼流圈巴倫可防止額外電流通過電感阻抗沿傳輸線回流。
延遲線巴倫
延遲線巴倫連有其上不設任何變壓器件且具有特定長度的傳輸線,通常用于較窄的頻率范圍,其中,所連的傳輸線長度為該傳輸線介質內目標頻率的四分之一波長的倍數。此類巴倫例如用于同軸連接向平衡天線的轉接。
優點:產生180°的相位偏移且提供平衡輸入。
自諧振巴倫
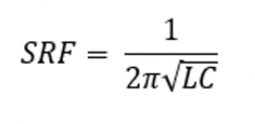
在物理材料制成的變壓器中,初級繞組和次級繞組之間以及各繞組內的線匝之間存在少量的電容,這些電容形成了人們所不希望的自電容或寄生電容。當巴倫內的自感和自電容的電抗大小相等且性質相反時,將發生諧振。當在等于或高于諧振頻率的頻率下工作時,任何設計類型的巴倫均表現不佳。巴倫設計時一項考量為盡可能使得其諧振頻率遠高于工作頻率。隨著頻率升高,寄生電容的阻抗逐漸減小,直至在自諧振頻率(SRF)下與理想電感的阻抗相等。

因此,上述電感的作用如同以自諧振頻率為臨界值的電感器一樣,一旦超出該值,阻抗便即急劇上升。而且,該電感器可作為對自諧振頻率附近的信號進行衰減的扼流圈。


返回頂部
刷新頁面
下到頁底