高斯隨機過程又稱為正態隨機過程,它是一種在通信系統中普遍存在的和十分重要的隨機過程。一般情況下,通信信道中的噪聲都可以認為是高斯過程。
一、高斯隨機變量與高斯隨機過程
1.定義
若隨機過程
的任意
維
分布都服從高斯分布,則稱
為高斯過程。
2.高斯過程的性質
(1)若干個高斯過程的和仍然是高斯過程。
(2)如果一個高斯過程是廣義平穩的,則也是狹義平穩的。
(3)如果高斯過程中的隨機變量之間互不相關,則它們是統計獨立的。
(4)高斯過程經過線性變換(或線性系統)后的隨機過程也是高斯過程。
3.一維概率密度和概率分布函數
(1)概率密度函數
高斯隨機變量的概率密度函數可表示成

a)
b)
如果
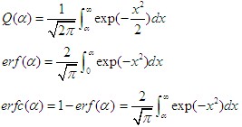
高斯分布函數是概率密度函數的積分

誤差函數的定義式







返回頂部
刷新頁面
下到頁底