摘要: R,L,C是電子電路及系統的主要元件,R,L,C參數的測量方法有電橋法、諧振法、伏安法。其中,電橋法具有較高的測量精度,但電路復雜且需要進行電橋平衡調節,不宜完成快速的自動測量。由于測量方法的制約,諧振法需要很高的頻率激勵信號,一般無法完成較高精度的測量。伏安法在設計中必須完成矢量測量及除法運算,為了實現高精度測量,還需要采用低失真的正弦波信號和高精度的A/D,早期實現比較困難。由于計算機技術的發展,智能儀器的計算能力和控制能力有了較大提高,使伏安法在實際中得到廣泛應用。 伏安法測量中,有固定軸法和自由軸法兩種,固定軸法要求相敏檢波器的相位參考基準嚴格地與標準阻抗電壓的相位相同,對硬件要求很高,并且存在同相誤差,已很少使用。自由軸法中相敏檢波器的相位參考基準可以任意選擇,只要求保持兩個坐標軸準確正交(相差90°),從而使硬件電路簡化。常見的自由軸法RLC測試儀采用模擬相敏檢波器,測量精度低,速度慢。本文介紹一種基于數字鑒相的自由軸法RLC測量電路設計。
1 系統組成及測量原理
基于數字鑒相的自由軸法RLC測量系統構成如圖1所示,主要由正弦信號源U0、前端測量電路、相敏檢波器、A/D轉換器、微處理器、基準相位發生器以及鍵盤、顯示電路等組成。
為了提高信號源精度,正弦信號源U0采用直接數字頻率合成信號源(DDS)。R0為信號源內阻,RS是標準電阻,Zx為被測阻抗,A為高輸入阻抗、高增益放大器,主要完成電流一電壓變換功能。測量時,開關S通過程控置于Ux或US端。由圖1有:UX=IOZX,US=-IORS,被測阻抗ZX為:
由式(1)可知,只要測出UX,US在直角坐標系中兩坐標軸x,y上的投影分量,經過四則運算,即可求出測量結果。
圖1中,被測信號與相位參考基準信號經過相敏檢波器后,輸出就是被測信號在坐標軸上的投影分量。相位參考基準代表著坐標軸的方向,為了得到每一被測電壓(US或UX)在兩坐標軸上的投影分量,基準相位發生器需要提供兩個相位相差90°的相位參考基準信號。需要指出的是在自由軸法中,相位參考基準與US沒有確定關系,可以任意選擇,即x,y坐標軸可以任意選擇,只需保持兩坐標軸準確正交90°。UX,US和坐標軸的關系如圖2所示。
應用圖1測量時,通過開關S選擇某一被測量(如UX),基準相位發生器依次送出兩個相位相差90°的相位參考基準信號,經相敏檢波器后分別得到UX在兩坐標軸上的投影分量U1,U2。類似,當開關S選擇US時,可分別得到US在兩坐標軸上的投影分量U3,U4。各投影分量經A/D轉換器可得對應的數字量,再經微處理器計算便得到被測元件參數值。
下面以電容并聯電路的測量為例,推導RLC參數的數學模型。
由圖2可得:
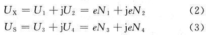
式中:Ni為Ui對應的數字量,e為A/D轉換器的刻度系數,即每個數字所代表的電壓值。
由式(2),式(3)可知:
直接通過對N1~N4數值的運算,即可完成矢量除法運算。
由式(1),式(4)可求得被測阻抗中的電容值CX及損耗角正切值DX。
式中:GX為介質損耗電導。
進而有:
同理可以導出被測參數R,C的計算公式。
2 正弦信號源與相敏檢波器
在自由軸法測量RLC原理電路(圖1)中,正弦信號發生器、相敏檢波器及基準相位發生器是RLC測量儀的關鍵部分。
2.1 正弦信號源
為了保證RLC測試儀的精度,要求信號源U0產生的正弦信號波形失真小,幅值穩定。自由軸法中,還要求信號源頻率和相敏檢波器相位基準信號的頻率相同。所以正弦信號源與基準相位發生器在電路上密切相關。為了保證測試精度,采用直接數字頻率合成DDS技術產生正弦信號激勵源。DDS具有系統穩定性強,以及相位、頻率精確可調的優點。圖3所示為采用DDS的正弦信號源及相敏檢波器原理圖。
圖3中時鐘信號CLK經分頻器后,得到依次二倍頻率關系的8路信號,作為ROM1的地址輸入,ROM1存放有256個按正弦規律變化的數據,即每一個存儲單元存儲的樣點數據與其地址之間的關系和正弦波的幅值與時間軸的關系一致。在分頻器輸出8路信號作用下,ROM1依次輸出正弦曲線樣點數據,經D/A轉換器后輸出階梯正弦波,再經濾波、放大,就得到了測試用的正弦激勵信號。信號基礎頻率由單片機的P1.2和P1.3控制,若P1.2,P1.3分別為00,10,01,則基礎頻率廠依次為100 Hz,1 kHz,10 kHz。
2.2 基準相位發生器
基準相位發生器由ROM2實現,ROM2的高兩位地址A9,A8由單片機的P1.1和P1.0提供,低8位地址A7~A0與ROM1地址對應相連。ROM2分為4個區,每區有64個數據,分別代表了4組相差90°的正弦波信號值。由P1.0,P1.1選擇不同的區域。當P1.1,P1.0分別為00,01,10,111,ROM2依次輸出相位相差90°的正弦信號(相位參考基準信號)。
2.3 相敏檢波器
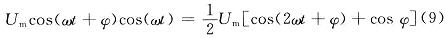
相敏檢波器由乘法型D/A轉換器和低通濾波器構成。乘法型D/A轉換器用于實現數字鑒相。ROM2輸出的8位數字式基準正弦信號送到8位乘法型D/A轉換器,與加至D/A轉換器參考電壓VREF端的被測電壓UX(或US)相乘,再經低通濾波便得到被測信號UX(或US)在坐標軸上的投影分量。分析如下,先使P1.1,P1.0=00,設ROM2輸出正弦信號為cos(ωt),被測信號UX=Umcos(ωt+ψ),經乘法型D/A后輸出為:
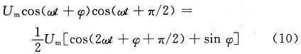
再經低通濾波器后輸出為Umcosψ,它是被測信號UX在x坐標軸上的投影。然后使P1.1,P1.0=01,實現90°移相操作,此時ROM2輸出為cos(ωT+π/2),被測信號UX仍然為Umcos(ωt+ψ),D/A轉換器輸出為:
經低通濾波可以得到UX在y坐標軸上的投影分量Umsin ψ信號。
同理,可以得到US在x,y坐標軸上的投影分量。
3 結 語
本電路所采用的數字相敏檢波器比傳統的模擬相敏檢波器具有無法比擬的優點。通過乘法型D/A轉換器進行數字鑒相,減少了傳統模擬鑒相器開關動作過程中出現的尖脈沖,提高了測量精度;兩個相互垂直的相位參考基準信號通過ROM2準確獲得,相位參考基準信號電路比模擬相敏檢波器大大簡化;此外鑒相器使用D/A轉換器后電路的溫度系數進一步減小。
1 系統組成及測量原理
基于數字鑒相的自由軸法RLC測量系統構成如圖1所示,主要由正弦信號源U0、前端測量電路、相敏檢波器、A/D轉換器、微處理器、基準相位發生器以及鍵盤、顯示電路等組成。
為了提高信號源精度,正弦信號源U0采用直接數字頻率合成信號源(DDS)。R0為信號源內阻,RS是標準電阻,Zx為被測阻抗,A為高輸入阻抗、高增益放大器,主要完成電流一電壓變換功能。測量時,開關S通過程控置于Ux或US端。由圖1有:UX=IOZX,US=-IORS,被測阻抗ZX為:
由式(1)可知,只要測出UX,US在直角坐標系中兩坐標軸x,y上的投影分量,經過四則運算,即可求出測量結果。
圖1中,被測信號與相位參考基準信號經過相敏檢波器后,輸出就是被測信號在坐標軸上的投影分量。相位參考基準代表著坐標軸的方向,為了得到每一被測電壓(US或UX)在兩坐標軸上的投影分量,基準相位發生器需要提供兩個相位相差90°的相位參考基準信號。需要指出的是在自由軸法中,相位參考基準與US沒有確定關系,可以任意選擇,即x,y坐標軸可以任意選擇,只需保持兩坐標軸準確正交90°。UX,US和坐標軸的關系如圖2所示。
應用圖1測量時,通過開關S選擇某一被測量(如UX),基準相位發生器依次送出兩個相位相差90°的相位參考基準信號,經相敏檢波器后分別得到UX在兩坐標軸上的投影分量U1,U2。類似,當開關S選擇US時,可分別得到US在兩坐標軸上的投影分量U3,U4。各投影分量經A/D轉換器可得對應的數字量,再經微處理器計算便得到被測元件參數值。
下面以電容并聯電路的測量為例,推導RLC參數的數學模型。
由圖2可得:
式中:Ni為Ui對應的數字量,e為A/D轉換器的刻度系數,即每個數字所代表的電壓值。
由式(2),式(3)可知:
直接通過對N1~N4數值的運算,即可完成矢量除法運算。
由式(1),式(4)可求得被測阻抗中的電容值CX及損耗角正切值DX。
式中:GX為介質損耗電導。
進而有:
同理可以導出被測參數R,C的計算公式。
2 正弦信號源與相敏檢波器
在自由軸法測量RLC原理電路(圖1)中,正弦信號發生器、相敏檢波器及基準相位發生器是RLC測量儀的關鍵部分。
2.1 正弦信號源
為了保證RLC測試儀的精度,要求信號源U0產生的正弦信號波形失真小,幅值穩定。自由軸法中,還要求信號源頻率和相敏檢波器相位基準信號的頻率相同。所以正弦信號源與基準相位發生器在電路上密切相關。為了保證測試精度,采用直接數字頻率合成DDS技術產生正弦信號激勵源。DDS具有系統穩定性強,以及相位、頻率精確可調的優點。圖3所示為采用DDS的正弦信號源及相敏檢波器原理圖。
圖3中時鐘信號CLK經分頻器后,得到依次二倍頻率關系的8路信號,作為ROM1的地址輸入,ROM1存放有256個按正弦規律變化的數據,即每一個存儲單元存儲的樣點數據與其地址之間的關系和正弦波的幅值與時間軸的關系一致。在分頻器輸出8路信號作用下,ROM1依次輸出正弦曲線樣點數據,經D/A轉換器后輸出階梯正弦波,再經濾波、放大,就得到了測試用的正弦激勵信號。信號基礎頻率由單片機的P1.2和P1.3控制,若P1.2,P1.3分別為00,10,01,則基礎頻率廠依次為100 Hz,1 kHz,10 kHz。
2.2 基準相位發生器
基準相位發生器由ROM2實現,ROM2的高兩位地址A9,A8由單片機的P1.1和P1.0提供,低8位地址A7~A0與ROM1地址對應相連。ROM2分為4個區,每區有64個數據,分別代表了4組相差90°的正弦波信號值。由P1.0,P1.1選擇不同的區域。當P1.1,P1.0分別為00,01,10,111,ROM2依次輸出相位相差90°的正弦信號(相位參考基準信號)。
2.3 相敏檢波器
相敏檢波器由乘法型D/A轉換器和低通濾波器構成。乘法型D/A轉換器用于實現數字鑒相。ROM2輸出的8位數字式基準正弦信號送到8位乘法型D/A轉換器,與加至D/A轉換器參考電壓VREF端的被測電壓UX(或US)相乘,再經低通濾波便得到被測信號UX(或US)在坐標軸上的投影分量。分析如下,先使P1.1,P1.0=00,設ROM2輸出正弦信號為cos(ωt),被測信號UX=Umcos(ωt+ψ),經乘法型D/A后輸出為:
再經低通濾波器后輸出為Umcosψ,它是被測信號UX在x坐標軸上的投影。然后使P1.1,P1.0=01,實現90°移相操作,此時ROM2輸出為cos(ωT+π/2),被測信號UX仍然為Umcos(ωt+ψ),D/A轉換器輸出為:
經低通濾波可以得到UX在y坐標軸上的投影分量Umsin ψ信號。
同理,可以得到US在x,y坐標軸上的投影分量。
3 結 語
本電路所采用的數字相敏檢波器比傳統的模擬相敏檢波器具有無法比擬的優點。通過乘法型D/A轉換器進行數字鑒相,減少了傳統模擬鑒相器開關動作過程中出現的尖脈沖,提高了測量精度;兩個相互垂直的相位參考基準信號通過ROM2準確獲得,相位參考基準信號電路比模擬相敏檢波器大大簡化;此外鑒相器使用D/A轉換器后電路的溫度系數進一步減小。


返回頂部
刷新頁面
下到頁底