電容傳感器的電容變化量往往很小。結果電容傳感器電纜雜散電容的影響非常明顯。特別在電容層析成像系統中被測電容變化量可達0.01pF,屬于微弱電容測量,系統中總的雜散電容(一般大于100 pF)遠遠大于系統的電容變化值,且雜散電容會隨溫度、結構、位置、內外電場分布及器件的選取等諸多因素的影響而變化,同時被測電容變化范圍大。因此微小電容測量電路必須滿足動態范圍大、測量靈敏度高、低噪聲、抗雜散性等要求。
1 充/放電電容測量電路
充/放電電容測量電路基本原理如圖1所示。
由CMOS開關S1,將未知電容Cx充電至Ve,再由第二個CMOS開關S2放電至電荷檢測器。在一個信號充/放電周期內從Cx傳輸到檢波器的電荷量Q=Ve·Cx,在時鐘脈沖控制下,充/放電過程以頻率f=1/T重復進行,因而平均電流Im=Ve·Cx·f,該電流被轉換成電壓并被平滑,最后給出一個直流輸出電壓 Vo=Rf·Im=Rf·Ve·Cx·f(Rf為檢波器的反饋電阻) 。
充/放電電容測量電路典型的例子為差動式直流充放電C/V轉換電路,如圖2所示。
Cs1和Cs2分別為源極板和檢測極板與地間的等效雜散電容(通過分析可知,它們不影響電容Cx的測量)。S1-S4是CMOS開關,S1和S3同步,S2和S3同步,它們的通斷受頻率f的時鐘信號控制,每個工作周期由充/放電組成。分析可得電路輸出為
Vo=2KRfVeCxf (1)
式中,K為差分放大器D3的放大倍數。
該電路的主要優點是能有效地抑制雜散電容,而且電路結構簡單,成本很低,經過軟件補償后電路穩定性較高,獲取數據速度快。缺點是電路采用的是直流放大,存在較大的漂移;另外,充/放電是由CMOS開關控制,所以存在電荷注入問題。目前該電路已成功應用于6、8、12電極的ECT系統中。其典型分辯率可達3*10-15F。
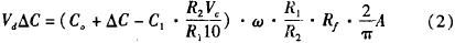
2 AC電橋電容測量電路
AC電橋電容測量電路如圖3所示,其原理是將被測電容在一個橋臂,可調的參考阻抗放在相鄰的一個橋臂,二橋臂分別接到頻率相同/幅值相同的信號源上,調節參考阻抗使橋路平衡,則被測橋臂中的阻抗與參與阻抗共軛相等。這種電路的主要優點是:精度高,適合作精密電容測量,可以做到高信噪比。
圖3電路的缺點是無自動平衡措施,為此可采用圖4所示的自動平衡AC電橋電容測量電路。
該系統輸出Vd為一直流信號,ΔC為傳感器的電容變化量。
式中,2/π為相敏因子。
結合平衡條件,在理論上輸出Vd可寫成
獲得該電橋的自動平衡過程的步驟為:保證電橋未加載時ΔC=0,測量電橋非平衡值并利用公式(3)計算出電橋輸出為零時所需的反饋信號Ve的值。重新測量橋路的輸出,若輸出為零,則橋路平衡;若輸出不為零,重復上述測量步驟,直至橋路輸出為零,即橋路平衡為止。該電橋電容測量電路原理上沒有考慮消除雜散電容影響的問題,為此采取屏蔽電纜等復雜措施,而且其效果也不一定理想。通過實驗測得其線性誤差能達到±1*10-13F。
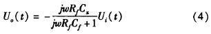
3 交流鎖相放大電容測量電路
交流型的C/V轉換電路基本原理如圖5所示。
正弦信號Ui(t)對被測電容進行激勵,激勵電流流經由反饋電阻Rf、反饋電容Cf,和運放組成的檢測器D轉換成交流電壓 Uo(t):
若jωRfCf>>1,則(4)式為
式(5)表明,輸出電壓值正比于被測電容值。為了能直接反映被測電容的變化量,目前常用的是帶負反饋回路的C/V轉換電路。這種電路的特點是抗雜散性、分辨率可高達0.4*10-15F。
由于采用交流放大器,所以低漂移、高信噪比,但電路較復雜,成本高,頻率受限。
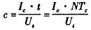
4 基于V/T變換的電容測量電路
測量電路基本原理如圖6所示。
電流源Io為4DH型精密恒流管,它與電容C通過電子開關K串聯構成閉合回路,電容C的兩端連接到電壓比較器P的輸入端,測量過程如下:當K1閉合時,基準電壓給電容充電至Uc=Us,然后K1斷開,K2閉合,電容在電流源的作用下放電,單片機的內部計數器同時開始工作。當電流源對電容放電至Uc=0時,比較器翻轉,計數器結束計數,計數值與電容放電時間成正比,計數脈沖與放電時間關系如圖7所示。
電容電壓Uc與放電電流Io的關系為:
令Uc=0,則有:
式中,N為計數器的讀數;Tc為計數脈沖的周期;它是一個常數;在Us和Io為定值時,C與N成正比。
基于V/T變換的電容測量電路,對被測電容只進行一次充放電即可完成對被測電容的測量。采用了電子技術中準確度較高的時間測量原理,克服了傳統測量微弱信號電路中放大器的穩定性不好、零點漂移大等缺點,且電路結構簡單、測量精度和分辨率高。
5 基于混沌理論的恒流式混沌測量電路
恒流式混沌電路如圖8所示。
其工作原理如下:當K1、K2斷開時,K3閉合。電容C充電使Uc=Ux,然后K3斷開,待周期為t的脈沖序列δ中的一個脈沖到達G(邏輯電路)時,G的輸人信號使K2閉合,K1保持斷開(此時相當于圖9中的X1點),電容開始以-0.5Io的恒定電流放電。當Uc=0時,相當于電路中的A點,比較器翻轉,輸出電壓Up由高電平變為底電平,Up的變化促使G變化,使G控制K1閉合、K2斷開,此時電容C由恒定電流Io充電,使Uc按A-X2方向上升。當又一個脈沖到來時(相當于圖8中X2點),G又開始變化,使K1斷開、K2閉合,又一個放電充電過程開始。這樣周而復始的放電充電使Uc的變化如圖9所示,只要適當調整,Io和t就可以使電路處于混沌狀態。
這種方法突出的優點是測量的分辨率高,測量的絕對誤差不隨被測電容值的變化而改變,對作為傳感器的元件只要求穩定即可。當被測電容很大時,相對誤差還會減小。此方法除了可以直接測量電容外,也可以作為電容式傳感器測量其它電量和非電量。
6 基于電荷放大原理的電容測量電路
基于電荷放大原理的電容測量電路如圖10所示,該電路是通過測量極板上的激勵信號所感應出的電荷量而得到所測電容值的。圖中Cx為被測電容,它的左側極板為激勵電極,右側極板為測量電極。Cas和Cbs表示每個電極所有雜散電容的等效電容,Cas由激勵信號源驅動,它的存在對流過被測電容的電流無影響。電容Cbs在
測量過程中始終處于虛地狀態,兩端無電壓差,因而它也對電容測量無影響,因此整個電路對雜散電容的存在不敏感。
基于電荷放大原理的電容測量電路,一方面該電路對被測電容只進行一次充放電,就可完成對電容的測量,由于測量結果是直流穩定信號,不存在脈動成分,故電路中無需濾波器。因此大大提高了基于該電路的數據采集系統的數據采集速度。同時該電路具有很強的抗雜散電容的性能。另一方面該電路可以對各開關的控制時序進行合理的設計,用以較好地解決了電子開關的電荷注入效應對測量精度的影響問題,使電路達到了較高的分辨率。現在此電路成功應用于12電極ECT系統中,在不實時成像的情況下,數據采集速度可達600幅/s,對雜散電容具有較強的抑制能力,系統靈敏度4.8 V/pF,可達最高分辨率為5*10-15F。
7 結論
電容傳感器性能很大程度上取決于其測量電路的性能,目前的微小電容測量技術正處于不斷的完善中,還不能滿足實際應用發展的需要。從工業角度而言,一個完善的微小電容測量電路應該具備低成本、低漂移、響應速度快、抗雜散性好、高分辨率、高信噪比和適用范圍廣等優點。在上述討論的測量電路各有優缺點,相比較而言,交流鎖相放大測量電路是目前實驗室應用最好的檢測電路,在現有研究成果基礎上進一步改善其電路復雜、頻率受限的缺點,將在工業實際測量中具有廣泛的應用前景。把微小電容測量技術研究工作推上一個新臺階。


返回頂部
刷新頁面
下到頁底