(1)電容三點式電路
圖1 電容三點式振蕩電路
圖1是一種電容三點式振蕩電路(又稱考畢茲電路電路),(a)為原理電路,(b)為交流通路。圖中,C1、C2是回路電容,L是回路電感,CE高頻旁路電容,Cc是耦合電容。一般來講,高頻旁路電容與耦合電容都比回路電容大一個數量級以上,對于高頻電路來講可視為短路。分析可得:
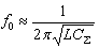
振蕩頻率:
,其中
。 考慮到
和
的影響,實際振蕩頻率稍高于
。
(2)電感三點式電路(又稱哈特來電路)
圖2 電感三點式振蕩電路 圖2 是一種電感三點式振蕩電路(又稱哈特來電路),(a)為原理電路,(b)為交流通路。
分析可得:
振蕩頻率:
,其中
。(電感L1、L2是串聯,且二者之間的互感為M) 

返回頂部
刷新頁面
下到頁底