平面連桿機構概述
平面四桿機構是由四個剛性構件用低副鏈接組成的,各個運動構件均在同一平面內運動的機構。機構類型有鉸鏈四桿機構、曲柄搖桿機構、雙搖桿機構等。
一、平面連桿機構概述
1.平面連桿機構: 由若干個構件以低副(轉動副和移動副)連接而成,且所有構件在相互平行平面內運動的機構,也稱平面低副機構。
2.平面四桿機構: 最簡單的平面四桿機構是由四個構件組成的,簡稱平面四桿機構。
3.鉸鏈四桿機構: 構件間用四個轉動副相連的平面四桿機構。
1、曲柄搖桿機構
(1) 曲柄:1作360°周轉運動,
(2) 搖桿:3作往復擺動,主動件可以為曲柄,也可以為搖桿。右面機構中搖桿的擺角為60°,作小于360的運動
(3) 連桿:連接曲柄與搖桿的桿件
(4)連架桿:連接機架與連桿的桿件。
曲柄搖桿機構:兩連架桿中一個為曲柄另一個為搖桿的鉸鏈四桿機構
雙曲柄機構:兩連架桿均為曲柄的鉸鏈四桿機構
雙搖桿機構:兩連架桿均為搖桿的鉸鏈四桿機構
平行四邊形機構
平行四邊形機構是雙曲柄機構的一個特例。組成四邊形對邊的構件長度分別相等。從動曲柄3和主動曲柄1的回轉方向相同,角速度時時相等
雙搖桿機構:
構件1和3都作往復擺動,一般主動搖桿作等速擺動,從動搖桿作變速擺動。
平面四桿機構的演化形式(Ⅰ)——含一個移動副的四桿機構
曲柄滑塊機構
正置曲柄滑塊機構滑塊(slider)鉸鏈點的運動方位線通過曲柄轉動中心,滑塊動程(pitch)等于兩倍曲柄1的長度,無急回運動特性。主動件可以為曲柄,也可以為滑塊。
偏置曲柄滑塊機構
導桿機構
轉動導桿機構
擺動導桿機構
曲柄1作360°周轉運動,擺動導桿3作往復擺動,且有較大的急回運動特性
曲柄搖塊機構
移動導桿機構
構件2作往復擺動,構件4在滑塊中作往復移動。
2 平面連桿機構的工作特性
1、轉動副為整轉副的充分必要條件
急回運動和行程速比系數
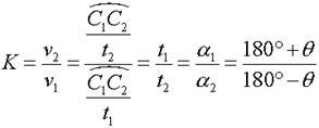
原動曲柄轉動一周過程中,有兩次與連桿共線,即重疊共線和拉直共線,搖桿兩個極限位置分別為C1D和C2D。
曲柄AB以等角速度ω順時針轉過α1角由位置AB1轉到位置AB2,搖桿從C1D擺到C2D,擺角為φ,所需時間為t1,C點平均速度為V1。當曲柄繼續轉過角α2,搖桿從C2D返回到C1D, 所需時間為t2,C點平均速度為V2。
因為α1>α2,t1>t2,所以v1 行程速比系數 在不計運動副中摩擦力、構件質量和慣性力的情況下,機構從動件受力方向Fc和受力點速度方向Vc所夾的銳角α,稱為機構在此位置的壓力角。 壓力角α的余角稱為傳動角γ,即γ+α=90º 在連桿機構中,為了度量方便,常用傳動角γ來衡量機構的傳力性能。傳動角是指連桿BC與從動件CD之間所夾的銳角。γ與α互余。 大多數機構在運動過程中,傳動角是變化的。為保證機構具有良好的傳動性能,一般規定機構的最小傳動角γmin≥40º,在傳遞較大力矩時,應使γmin≥50º。 死點:搖桿CD為主動件。當機構處于連桿與從動曲柄共線的兩個位置時,出現了傳動角γ=0º,壓力角α=90º的情況。主動件CD通過連桿作用于從動件AB的力恰好通過其回轉中心,不能使AB桿轉動,機構此位置稱為死點 在機輪放下時,連桿BC桿與從動桿CD桿成一直線,機構處于死點位置,使降落更加安全可靠。 工件夾緊機構 3 連桿機構設計 要求:設計曲柄搖桿機構 解:1、計算極位夾角θ θ=180(K-1)/ (K+1) 2、任取一點D為搖桿固定鉸鏈中心,作等腰三角形C1C2D,兩腰長度等于CD,∠C1DC2=φ 4、連接并延長C1D,交圓β于G點,連接并延長C2D,交圓β于F點。 圓弧C1F和GC2上任意一點A到C1和C2的連線的夾角∠C1AC2都等于極位夾角θ。曲柄軸心A點可在這兩段圓弧上選取 注意:曲柄軸心A不能在FG圓弧上選取,否則機構不滿運動連續性要求。 在C1F和GC2兩段圓弧上選取A點時,當A點越靠近F(或G)點時,機構最小傳動角將隨之減小。 AC1=b-a AC2=b+a 所以:a=(AC2-AC1)/2 b=(AC1+AC2)/2 2) 對于擺動導桿機構,由于其導桿的擺角φ 剛好等于其極位夾角θ,因此,只要給定曲柄長度LAB (或給定機架長度LAC)和行程速比系數K就可以由右圖求得機構. (1)運動副都是低副,壽命長,傳遞動力大。 (2)何形狀簡單,易于加工,成本低。 (3)在主動件等速連續運動的條件下,當各構件的相對長度不同時,從動件可滿足多種運動規律的要求。 (4)連桿上各點軌跡形狀各異,可利用這些曲線來滿足不同的軌跡要求。 (5)能夠實現多種運動形式的轉換,也可以實現各種預定的運動規律和復雜的運動軌跡,容易滿足生產中各種動作要求; (6)構件間接觸面上的比壓小、易潤滑、磨損輕、適用于傳遞較大載荷的場合; (7)機構中運動副的元素形狀簡單、易于加工制造和保證精度。 5.平面連桿機構的缺點: (1)誤差較大,降低機械效率。 (2)不容易實現精確復雜的運動規律。 (3)不宜用于高速傳動。 二、鉸鏈四桿機構 1.鉸鏈四桿機構的組成 (1)機架——固定件,如下圖所示構件4; (2)連架桿——與機架用轉動副相連接的構件,如下圖所示構件1和構件3; (3)連桿——不與機架直接相連的構件,如下圖所示構件2。 2.鉸鏈四桿機構的基本形式 根據連架桿運動形式的不同,相對機架能做整周轉動的稱為曲柄,只能在一定角度范圍內往復擺動的稱為搖桿。這樣,鉸鏈四桿機構可分為三種基本形式: (1)曲柄搖桿機構:兩連架桿中,一個為曲柄,而另一個為搖桿。 (2)雙曲柄機構 兩連架桿均為曲柄。 (3)雙搖桿機構 兩連架桿均為搖桿。 3.曲柄搖桿機構 在鉸鏈四桿機構的兩連架桿中,若一個為曲柄,另一個為搖桿,則此四桿機構稱為曲柄搖桿機構。通常曲柄等速轉動,搖桿作變速往復擺動。 4.雙曲柄機構 在鉸鏈四桿機構中,若兩連架桿均為曲柄,則此四桿機構稱為雙曲柄機構。 5.雙搖桿機構 在鉸鏈四桿機構中,若兩連架桿均為搖桿,則此四桿機構稱為雙搖桿機構。 6.曲柄存在的條件: (1)連架桿和機架中必有一桿是最短桿。 (2)最短桿與最長桿長度之和小于或等于其余兩桿長度之和。 上述兩個條件必須同時滿足,否則機構不存在曲柄。當滿足桿長條件時,說明存在整轉副,當選擇不同的構件作為機架時,可得不同的機構。如曲柄搖桿 、雙曲柄、 雙搖桿機構。 (1)連架桿是最短桿 為曲柄搖桿機構; (2)機架是最短桿 為雙曲柄機構; (3)若最短桿是連桿,此機構為雙搖桿機構。若滿足最短桿與最長桿長度之和大于其余兩桿長度之和時,為雙搖桿機構。 三、含有一個移動副的平面四桿機構 1.曲柄滑塊機構 曲柄滑塊機構是用移動副取代曲柄搖桿機構中的轉動副而演化得到的。 曲柄滑塊機構用于轉動與往復移動之間的運動轉換,廣泛應用于活塞式內燃機、空氣壓縮機、沖床和自動送料機等機械設備中。 2.導桿機構 導桿機構可看成是通過改變曲柄滑塊機構中的固定構件演化而來的。 3.曲柄擺動導桿機構 4.移動導桿機構 也稱為定塊機構。這種機構常用于抽水唧筒和抽油泵中。 5.擺動導桿機構 四、平面四桿機構的工作特性 1.急回特性 搖桿CD處此兩極限位置時曲柄所在直線之間的銳角θ稱為極位夾角,機構中輸出件在兩極限位置間的移動距離或擺動角度φ稱為行程。 曲柄滑塊機構,當偏心距e=0時,θ=0,K=1,機構無急回特性;當偏心距e不等于0時,θ不等于0,則K>1,機構有急回特性。 3.壓力角和傳動角 如下圖所示的曲柄搖桿機構中,如不考慮構件的重量和摩擦力,可將F分解可得推動搖桿的有效分力Ft=Fcosα,只能產生摩擦阻力的有害分力Fr=Fsinα。 其中,α稱為壓力角,即為作用在從動件上的驅動力與該力作用點的絕對速度方向之間所加銳角稱為壓力角,通常把壓力角座位判斷一連桿機構是否具有良好的傳力性能的標志。 常以連桿與搖桿所夾銳角γ來衡量機構的傳力性能。顯而易見,γ即壓力角的余角,稱為傳動角。因為γ=90°−α,故γ愈大,對機構傳動愈有利。 4.死點 如下圖所示的曲柄搖桿機構中,當搖桿CD為主動件、曲柄AB為從動件時,當搖桿處在兩個極限位置時,連桿BC與曲柄AB共線。若不計各構件質量,則這時連桿加給曲柄的力將通過鉸鏈A的中心,這時連桿BC無論給從動件曲柄AB的力多么大都不能推動曲柄運動,機構所處的這種位置稱為死點位置。 在實際應用中也有利用死點位置的性質來進行工作的。如下圖所示快速夾具,機構處于死點位置,在去除外力F后仍可加緊工件而不自動脫落。只有向上扳動手柄3方可松開夾具。 五、平面四桿機構的設計 1.四桿機構設計條件 (1)給定位置或運動規律,如連桿位置、連架桿對應位置或行程速度變化系數等。 (2)給定運動軌跡,如要求起重機中吊鉤的軌跡為一直線;攪面機中攪拌桿端能按預定軌跡運動等,這些都是連桿上的點的軌跡。為了使機構設計的合理、可靠,還應考慮幾何條件和傳力性能要求等。 2.四桿機構的設計方法 (1)已知連桿的兩個位置、及其長度,設計鉸鏈四桿機構。 (2)按給定連桿三個位置設計四桿機構 (3)按給定的行程速度變化系數設計四桿機構
壓力角與傳動角
鉸鏈四桿機構
攪拌機
平行四邊形機構和反平行四邊形機構
鶴式起重機
曲柄滑塊機構:(左)對心曲柄滑塊機構;(右)偏置曲柄滑塊機構
(a)對心曲柄滑塊機構;(b)曲柄轉動導桿機構;(c)移動導桿機構;(d)擺動導桿機構
曲柄擺動導桿機構在電器開關中的應用
抽水唧筒
汽車自動卸料機構
綜上所述,在輸入件曲柄作等速轉動時,作往復擺動的輸出件搖桿在空載行程中的平均速度大于工作行程中的平均速度,這一性質稱為連桿機構的急回特性。通常用行程速度變化系數K來表示這種特性:
機構的急回速度取決于夾角θ的大小。θ越大,K值越大,機構的急回程度也越高,但從另一方面看,機構運動的平穩性就越差。 2.曲柄滑塊機構急回特性
偏置曲柄滑塊機構
壓力角和傳動角
死點位置
死點的應用
已知連桿兩位置設計鉸鏈四桿機構
按給定連桿三個位置設計四桿機構
按給定的行程速度變化系數設計四桿機構


返回頂部
刷新頁面
下到頁底