序言:
雷達(Radar)是利用定向天線向外發射電磁波,然后根據目標反射的電磁波信號特征,來獲取目標的距離、位置、速度等信息。通常雷達測距的方法有三種:脈沖法測距、調頻連續波法測距、相位法測距;常用的為前兩種。脈沖法測距分辨率和脈沖寬度有關,要達到更高的分辨率困難比較大;而調頻連續波雷達,可以用相對簡單的硬件,實現高精度距離測量,并且可以同時測量目標的速度信息。
FMCW雷達基本原理:
調頻連續波雷達(FMCW)的基本原理如下圖所示(以三角波為例):
雷達發射頻率隨時間變化的三角波信號,該信號經目標反射之后被雷達接收。因為發射信號和接受信號之間有一定的時間差,并且發射信號的頻率是隨時間變化的;所以在發射信號和接收信號之間有一定的頻率差;距離越大、頻差就越大。通過頻差和距離之間的某種關系,可以測得目標的距離。
另外,如果是相對雷達運動物體,因為多普勒效應,會有一定的額外頻偏;通過提取這個額外的頻偏、并和目標速度取得一定的關系,就可以得到目標的速度信息
靜止目標的距離測量:
圖(2)為FMCW雷達信號示意圖;設發射的三角波為 、反射回來的波為 ,目標和雷達之間距離為R、發射波和接收波之間的延遲為 ;則任一時刻發射波和接收波的頻率差為:
設ts為調頻波周期的一半、fspan為調頻波掃頻帶寬,根據如圖有如下關系:
公式根據反射波和入射波的頻率差fb,可以得到距離信息。根據掃頻周期和掃頻帶寬,能計算出每赫茲頻率差、反映的距離信息。從公式可見,掃頻帶寬越寬,距離分辨率越高;同樣掃頻帶寬下,載波頻率越高(ts越小)、距離分辨率越高。在其他參數固定的情況下,距離和差頻成函數關系。
運動目標的距離、速度測量:
如果被測物體是移動的,考慮到多普勒效應,反射波會有一定頻移,則入射波和反射波的頻率差將會不再恒定(如下圖)。設多普勒頻移為fd,則有:
設發射信號的中心頻率為 ,則多普勒頻移為:
其中v為被測物體的速度。
根據前面公式(4)有:
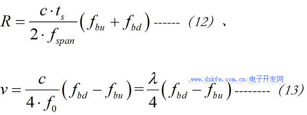
公式(10)、(11)分別相加和相減得到:
至此,得到了目標距離和目標速度與雷達反射信號的關系。


返回頂部
刷新頁面
下到頁底