根據反饋電路與放大電路在輸入端和輸出端的連接方式,負反饋分為四種方式:串聯電壓負反饋、并聯電壓負反饋、串聯電流負反饋和并聯電流負反饋
2、負反饋類型的判別方法(1) 首先,以瞬時極性法確定反饋屬于正反饋還是負反饋。
(2) 其次,判別區分電壓反饋或電流反饋:
a) 電壓反饋:反饋信號取自輸出電壓,并與之成比例;
b) 電壓反饋:反饋信號取自輸流電壓,并與之成比例;
c) 判別方法:
輸出電壓短路法:將輸出電壓“短路”,若反饋信號消失,為電壓反饋,否則為電流反饋;
觀察法:除公共地線,若反饋線與輸出線接在同一點上,為電壓反饋,否則為電流反饋。
(3) 然后,判別區分串聯反饋或并聯反饋:
a) 串聯反饋:反饋信號輸入信號在電路輸入端以電壓形式作比較,兩者串聯;
b) 并聯反饋:反饋信號輸入信號在電路輸入端以電流形式作比較,兩者并聯;
c) 判別方法:
輸入短路法:將輸入信號“短路”,若反饋信號消失,為并聯反饋,否則為串聯反饋;
觀察法:若反饋信號與輸入信號接到放大電路的同一輸入端,為并聯反饋,否則為串聯反饋。
3、負反饋對放大電路工作性能的影響(1) 降低放大倍數
基本放大電路的增益(開環增益)為
(1)
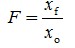
反饋信號與輸出信號之比稱為反饋系數,以F表示
(2)
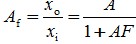
引入負反饋后,整個放大器的增益(閉環增益)為
(3)
可見,引入負反饋后,電路增益為原來的1/(1+AF)。
(1+AF)稱為反饋深度,其值越大,負反饋作用越強,|Af|越小。|1+AF|>>1,稱為深度負反饋,有
(4)
表明在深度負反饋情況下,閉環增益取決于反饋元件,而與開環增益無關。
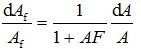
(2) 提高增益的穩定性
對式(3)求導,得
(5)
電壓負反饋穩定輸出電壓,電流負反饋穩定輸出電流。
(3) 減小輸出波形的非線性失真
(4) 展寬通頻帶
(5) 影響電路輸入、輸出電阻
串聯負反饋增大輸入電阻,并聯負反饋減小輸入電阻;
電壓負反饋減小輸出電阻,電流負反饋增大輸出電阻。


返回頂部
刷新頁面
下到頁底