分析多級放大電路的基本方法是:化多級電路為單級,然后再逐級求解。化解多級電路時要注意,后一級電路的輸入電阻作為前一級電路的負載電阻;或者,將前一級輸出電阻作為后一級電路的信號源內阻。
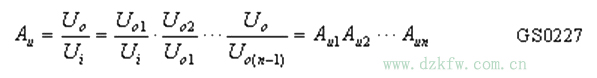
一、電壓放大倍數
式中Au1、Au2…Aun :多級放大電路各級的電壓放大倍數。
Au(dB)= Au1(dB)+ Au2(dB)+ …+ Aun(dB) GS0228
二、輸入電阻和偷出電阻
多級放大電路的輸入電阻就是第一級放大電路的輸入電阻,其輸出電阻就是最后一級放大電路的輸出電阻。有時第一級的輸入電阻也可能與第二級電路有關,最后一級的輸出電阻也可能與前一級電路有關,這就取決于具體電路結構。
例題 三級放大電路如圖Z0225所示。計算該電路的Au 、ri 、ro 。
解:(1)電壓放大倍數
按前述分析方法將三級放大電路劃分為3個單級放大電路,如圖Z0226所示。
由上圖可見,第一級電路和第三級電路為共集電極放大電路,其電壓放大倍數為:Au1=Au3≈1,第二級電路為共射極放大電路,它的電壓放大倍數為
Au2 = - β(RC2∥ri3)/rbe2
(2)輸入電阻
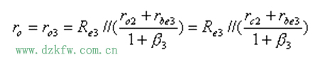
(3)輸出電阻
第三級電路為射極輸出放大電路則:
由上例可以看出,分析多級放大電路的關鍵在于正確地劃分出各單級放大電路。


返回頂部
刷新頁面
下到頁底