什么是差分放大電路
差分放大電路利用電路參數的對稱性和負反饋作用,有效地穩定靜態工作點,以放大差模信號抑制共模信號為顯著特征,廣泛應用于直接耦合電路和測量電路的輸入級。但是差分放大電路結構復雜、分析繁瑣,特別是其對差模輸入和共模輸入信號有不同的分析方法,難以理解,因而一直是模擬電子技術中的難點。差分放大電路:按輸入輸出方式分:有雙端輸入雙端輸出、雙端輸入單端輸出、單端輸入雙端輸出和單端輸入單端輸出四種類型。按共模負反饋的形式分:有典型電路和射極帶恒流源的電路兩種。
(a)射極偏置差放(b)電流源偏置差放
差放有兩個輸入端子和兩個輸出端子,因此信號的輸入和輸出均有雙端和單端兩種方式。雙端輸入時,信號同時加到兩輸入端;單端輸入時,信號加到一個輸入端與地之間,另一個輸入端接地。雙端輸出時,信號取于兩輸出端之間;單端輸出時,信號取于一個輸出端到地之間。因此,差分放大電路有雙端輸入雙端輸出、單端輸入雙端輸出、雙端輸入單端輸出、單端輸入單端輸出四種應用方式。上面兩個電路均為雙端輸入雙端輸出方式。
(a)電阻Re是T1和T2兩管的公共射極電阻,或稱射極耦合電阻,它實際上就是在工作點穩定電路中植入的射極電阻,只是此處將兩個電阻的射極電阻合并成一個Re,所以經它的作用是穩定靜態工作點,對零漂做進一步的抑制。電阻Re常用等效內阻極大的恒流源I0來代替,以便更有效地提高抑制零漂的作用。負電源-
用來補償射極電阻Re兩端的直流壓降,以避免采用電壓過高的單一正電源+
,并可擴大輸出電壓范圍,使兩基極的靜態電位為零,基極電阻Rb通常為外接元件,也可不用,其作用是限制基極靜態電流并提高輸入電阻。
差分放大器工作狀態

上圖a電路,是輸入信號IN1=IN2的狀態。
(1)因輸入端的“虛斷”特性,同相輸入端為高阻態,其輸入電壓值僅僅取決于R1、R2分壓值,為2V。同相輸入端的2V電壓可以看作成為輸入端比較基準電壓;
(2)因兩輸入端的“虛短”特性,可進而推知其反相輸入端,即R3、R4串聯分壓電路,其b點=a點=2V。這是反饋電壓。放大器的控制目的是使反饋電壓等于基準電壓;
(3)由R1=R3,R2=R4條件可知,放大器輸出端只有處于“虛地”狀態,即輸出端為0V,才能滿足b點=a點=2V,這可以由此導出差分放大器的一個工作特征。
上圖b中的(1)電路,是IN1》IN2的狀態。
(1)此時因同相輸入端電壓高于反相輸入端,輸出端電壓往正方向變化,其R3、R4偏置電路中的電流方向如圖所示;
(2)由R3、R4的阻值比例可知,R3兩端電壓降為(2.8V-1.5V)/10k,則R4兩端電壓降為1.3V&TImes;4=5.2V,輸出端電壓為2.8V+5.2V=8V。
(4)此時的輸入電壓差為IN1-IN=2V,輸出電壓為8V。顯然,該差分放大器的差分電壓放大倍數=R4/R3是4倍壓差分放大器。由此可以推知差分放大器的差分輸入放大倍數為(1N1-IN2)&TImes;R4/R3=-OUT
上圖b中的(2)電路,是IN1《IN2的狀態。
此時因反同相輸入端電壓高于同相輸入端,輸出端電壓往負方向變化,其R3、R4偏置電路中的電流方向如圖所示。同樣,依R3、R4的阻值比例可推知,在此輸入條件下,輸出端電壓為-8V,電路依然將輸入差分信號放大了4倍。
從電路的工作(故障)狀態判斷來說,直接測量R3、R4串聯電路的分壓狀態,只要R3、R4串聯分壓是成立的,則電路就大致上(起碼運放芯片)就是好的;電路的電壓放大倍數也由此得出;只要測量輸入電壓差(R1、R3左端電壓差),再測量輸出端電壓進行比較,則外圍偏置電路的好壞。
差分放大電路的接法大全
1、雙端輸入單端輸出電路
電路如右圖所示,為雙端輸入、單端輸出差分放大電路。由于電路參數不對稱,影響了靜態工作點和動態參數。
直流分析:
畫出其直流通路如右下圖所示,圖中和是利用戴維寧定理進行變換得出的等效電源和電阻,其表達式分別為:



交流分析:
在差模信號作用時,負載電阻僅取得T1管集電極電位的變化量,所以與雙端輸出電路相比,其差模放大倍數的數值減小。
如右下圖所示為差模信號的等效電路。在差模信號作用時,由于T1管與T2管中電流大小相等方向相反,所以發射極相當于接地。
輸出電壓

一半。如果輸入差模信號極性不變,而輸出信號取自T2管的集電極,則輸出與輸入同相。當輸入共模信號時,由于兩邊電路的輸入信號大小相等極性相同。與輸出電壓相關的T1管一邊電路對共模信號的等效電路如下

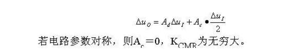
共模抑制比

結論:Re愈大,Ac的值愈小,Kcmr愈大,電路的性能愈好。
2、單端輸入、雙端輸出電路
如下圖(a)所示為單端輸入、雙端輸出電路。電路對于差模信號是通過發射極相連的方式將T,管的發射極電流傳遞到T,管的發射極的,故稱這種電路為射極耦合電路。
如圖(b)所示將輸入信號進行等效變換,可看出,兩輸入端分別輸入了差模信號和共模信號。

可見,單端輸入電路與雙端輸入電路的區別在于:差模信號輸入的同時,伴隨著共模信號輸入。
輸出電壓

靜態工作點以及動態參數的分析完全與雙端輸入、雙端輸出相同。
3、單端輸入、單端輸出電路
如右圖所示為單端輸入、單端輸出電路,該電路對靜態工作點、差模增益、共模增益、輸入與輸出電阻的分析與單端輸出電路相同。對輸入信號的作用分析與單端輸入電路相同。



返回頂部
刷新頁面
下到頁底