1、基本差分放大電路
(1) 基本結構
差分放大電路是由對稱的兩個基本放大電路,通過射極公共電阻耦合構成的,如圖1所示。
對稱的含義是兩個三極管的特性一致,電路參數對應相等,具有相同的靜態工作點。

圖1差動放大原理電路
(2) 電路抑制零點漂移
當環境溫度變化引起兩管集電極電流都發生變化時,兩管集電極電位亦隨之改變,使每管的輸出都產生了零點漂移。由于電路的對稱性,兩者的漂移是同向的,即同時增大或同時減小,且增量也相等,因此,在輸出端將互相抵消而被完全抑制,使輸出u0維持原值而為零。
(3)三類輸入信號——共模、差模、任意輸入
共模輸入信號是指在兩個輸入端加上幅度相等,極性相同的信號,即ui1=ui2,uo=0;
差模輸入信號是指在兩個輸入端加上幅度相等,極性相反的信號,即ui1=-ui2,uo=ΔVc1-ΔVc2
差分放大電路僅對差模信號具有放大能力,對共模信號不予放大。
任意輸入信號是指在兩個輸入端加入任意大小和極性的輸入信號。 任意輸入信號可以分解為一對共模信號和一對差模信號的組合。
差放電路的主要技術指標:電壓放大倍數和共模抑制比。雙端輸出時,差模電壓放大倍數與單管放大時相等,單端輸出則為單管放大的二分之一;雙端輸出時,共模電壓放大倍數,理想情況系下為零,單端輸出時,共模電壓放大倍數很小。

差分放大器的輸入阻抗計算
差分放大器的輸入阻抗可以分三個:①差模輸入阻抗②共模輸入阻抗③每個端口的單端輸入阻抗。下面分別對應兩種差分放大器進行計算
一、差分輸入、單端輸出

圖1. 差分輸入、單端輸出放大器
簡化示意圖如下圖所示:

圖2. 簡化電路示意圖
①差分輸入阻抗
差分輸入阻抗Rid的定義是輸入端的電壓變化量除以電流變化量即Rid=△v/△i≠v/i 。由上圖可知Zid=Z1+Z2,對應圖1電路,差分輸入阻抗Rid=R1+R2,電阻匹配的情況下有R1=R2,因此有
Rid=2R1
②共模輸入阻抗
共模輸入阻抗的定義為共模電壓源上給測試信號v,對應流出電流為i,則Ric=v/i,注意測試信號給的位置是在Vc上。由圖2可得Ric=Z1||Z2+Z3,電阻匹配情況下R1=R2,Rf=Rg,因此有:
Ric=½R1+½Rf
以上結果與佛朗哥《基于運算放大器和模擬集成電路的電路設計》P.63的結論是一樣的,下面計算此書中未提及的每個端口看進去的輸入阻抗。
③單個端口的輸入阻抗
V2端(同相端)的輸入阻抗Ri2=R2+Rg(顯然);將V2接地,V1端(反相端)的輸入阻抗Ri1=R1+Rf。注意兩個端口看進去的輸入阻抗是不同的!
二、差分輸入、差分輸出

圖3. 差分輸入、差分輸出放大器
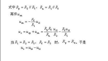
對于差分輸入、差分輸出的放大器,其差模輸入阻抗和共模輸入阻抗與圖1的計算方法與計算結果都相同,Rid=2Rg,Ric=(Rg+Rf)/2。這種放大器經常用于差分信號轉換為單端信號,通常將同相端接地,反相端輸入信號,這就需要計算從同相端看進去的單端口輸入阻抗。將-Din接地,+Din給一個測試信號VT,流入放大器的電流為IT,運用虛短、虛斷公式(注意Vout為+½Vo和-½Vo),有:
虛短、虛斷公式
得到輸入阻抗為:
計算得到的結果
注意,ADI應用手冊AN-0990中的算結果:
ADI計算的結果
注意這與我計算的結果是一樣的,這就是差分輸入、差分輸出放大器的單端輸入阻抗。


返回頂部
刷新頁面
下到頁底