【題目1】:倍壓整流電路如何分析?
【相關知識】:二極管的單向導電性,整流電路工作原理。
【解題方法】:為了得到倍壓整流電路輸出電壓的數值,首先必須明確電路中的二極管在什么條件下導通和什么條件下截止。為簡化分析,設負載開路且電路已經進入穩態,然后對每個電容上的電壓逐個分析,最后得到輸出電壓。
【解答過程】:

以圖1為例,設B點為地,變壓器副邊電壓有效值為U2。
C1上的電壓:u2正半周時,即A點“+”,B點“-”時,如圖中實線所示,電流從A經D1向C1充電,穩定時C1上的電壓為,上正下負。在u2正半周時D2是否導通,視C2上的電壓而定。
C2上的電壓:u2正半周時不可能通過D2對C2充電,事實上,在u2負半周,即A點“-”,B點“+”時,u2和C1上的電壓疊加通過D2對C2充電,如圖中虛線所示,因而進入穩態時,C2上的電壓可達,極性右正左負。
C3上的電壓:u2正半周時,若C2已經進入穩態,則將與u2疊加通過D3對C3充電,如圖中點劃線所示,C3上的電壓可達,極性上正下負。因此,輸出電壓
,可見這是個三倍壓電路。
必須指出,三個電容的充電過渡過程是同時發生的,進入穩態后,三個二極管均截止。帶上負載電阻并進入穩態后,在u2的各個周期均有各個電容的充放電過程,但各個電容上平均電壓的比例關系基本不變。
【題目2】:有源濾波器中為什么要引入負反饋?其通帶放大倍數如何確定?
【相關知識】:有源濾波器的概念,有源濾波電路的組成、特點和分析方法,負反饋有關概念。
【解題方法】:在有源濾波器中,集成運放工作在線性區,因而電路中必須引入負反饋,這也成為有源濾波器的電路特征,而且通帶放大倍數與負反饋網絡緊密相關。
【解答過程】:

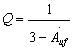
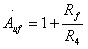
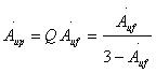
例如,圖1(a)中,以P點電位作為輸入,電路為同相比例運算電路,電壓放大倍數即為比例系數,決定于負反饋網絡
列M、P的節點電流方程可得電路的中心頻率、品質因數Q、通帶放大倍數
,
可見,以上指標均與負反饋網絡的參數密切相關。
再例如,在圖1(b)所示電路中,當信號頻率趨于零時,C1、C2、C3相當于開路,N點是虛地,等效電路如圖所示,輸出電壓。但隨著信號頻率的升高,輸入電壓可以直接傳輸到輸出,故該電路為高通濾波器。
通帶放大倍數如何確定?

由于C2的容抗趨于零,使M電位趨于N點電位,即趨于零,所以R1中電流也隨之趨于零;R2中的電流遠小于C3中的電流,因而等效電路如圖2(b)所示,C1的電流等于C3的電流,即:
由此,可得通帶放大倍數
它取決于輸入端電容C1和反饋電容C2之比。
【題目3】:無源濾波電路和有源濾波電路各有什么特點?各適用于什么場合?如何識別濾波電路的類型?
【相關知識】:濾波電路的種類、特性,無源濾波電路和有源濾波器的概念,有源濾波電路的組成、特點和分析方法。
【解題方法】:通過設定信號頻率由0~∞變化,分析濾波器的通帶和阻帶位置。
若濾波電路元件僅由無源元件(電阻、電容、電感)組成,則稱為無源濾波電路。若濾波電路不僅由無源元件,還由有源元件(雙極型管、單極型管、集成運放)組成,則稱為有源濾波電路。
無源濾波電路的結構簡單,易于設計,但它的通帶放大倍數及其截止頻率都隨負載而變化,因而不適用于信號處理要求高的場合。無源濾波電路通常用在功率電路中,比如直流電源整流后的濾波,或者大電流負載時采用LC(電感、電容)電路濾波。
有源濾波電路的負載不影響濾波特性,因此常用于信號處理要求高的場合。有源濾波電路一般由RC網絡和集成運放組成,因而必須在合適的直流電源供電的情況下才能使用,同時還可以進行放大。但電路的組成和設計也較復雜。
有源濾波電路不適用于高電壓大電流的場合,只適用于信號處理。
根據濾波器的特點可知,它的電壓放大倍數的幅頻特性可以準確地描述該電路屬于低通、高通、帶通還是帶阻濾波器,因而如果能定性分析出通帶和阻帶在哪一個頻段,就可以確定濾波器的類型。
識別濾波器的方法是:若信號頻率趨于零時有確定的電壓放大倍數,且信號頻率趨于無窮大時電壓放大倍數趨于零,則為低通濾波器;反之,若信號頻率趨于無窮大時有確定的電壓放大倍數,且信號頻率趨于零時電壓放大倍數趨于零,則為高通濾波器;若信號頻率趨于零和無窮大時電壓放大倍數均趨于零,則為帶通濾波器;反之,若信號頻率趨于零和無窮大時電壓放大倍數具有相同的確定值,且在某一頻率范圍內電壓放大倍數趨于零,則為帶阻濾波器。
【題目4】:串聯型穩壓電路為何必須引入深度電壓負反饋?
【相關知識】:串聯穩壓電路的結構和工作原理,負反饋的概念、原理、分類。
【解題方法】:把UZ看作為穩壓電路輸入電壓,R2中心抽頭對地電壓作為反饋電壓來分析。
【解答過程】:串聯型穩壓電路的基本原理是引入電壓負反饋來穩定輸出電壓。如圖1所示。

當輸出電壓Uo由于某種原因升高時,通過采樣電阻R1~R3,使T3管的基極電位UB3隨之升高,T3管集電極(即調整管T1的基極)電位降低,T1的發射極電位隨之降低,即輸出電壓Uo降低,使Uo基本不變。反之,當輸出電壓Uo由于某種原因降低時,也可以保持Uo基本不變。在深度負反饋條件下,T2和T3的基極電位近似相等,因而輸出電壓的調整范圍是。
必須注意的是,只有在滿足深度負反饋的條件下,上述的關系才成立,因而才能實現輸出電壓的精確穩定。
【題目5】:串聯型穩壓電路實現穩壓過程中應當注意哪些問題?
【相關知識】:串聯穩壓電路的結構和工作原理,正/負反饋的概念、原理。
【解題方法】:從電路的幾種極端情況,分析T1~T3電路能否保持放大狀態
【解答過程】:在構成反饋電路時,應當注意以下問題:
(1)所引入的必需是電壓負反饋,而不是正反饋。
(2)比較放大部分的放大管和調整管應在電網電壓波動、負載電阻變化、輸出電壓調整過程中始終處于放大狀態,負反饋才起作用,輸出電壓才穩定。
(3)電路不應產生自激振蕩。
舉例來說,在圖1所示的電路中:

(1)若T2和T3管的集電極互換,意即T2管的集電極接Rc和T1的基極,T3的集電極接T1管的發射極,則電路引入的正反饋,電路不能正常工作。
(2)當輸入電壓達到最小值而輸出電壓又為最大值時,若調整管的壓降
T1進入飽和區,電路不再穩壓。
(3)若環境溫度升高,使T1的穿透電流ICEO增大且空載時,若T1管的壓降
T1進入飽和區,電路出現高溫失控現象,不再穩壓。
(4)T1基極的結點電流方程為
即Rc的電流等于T1基極電流和T3基極電流之和。若負載電流增大至使,則T3截止,差分放大電路不能正常工作,電路不能穩壓。
(5)在差分放大電路中,T2和T3的發射極電流之和等于Re中的電流,而且Re中的電流基本不變,即
若空載,即集電極電流T3最大時,則T2管截止,差分放大電路不能正常工作,電路不再穩壓。
(6)若在輸出端測得紋波電壓不是幾毫伏至十幾毫伏,而是幾百毫伏,甚至更大,則說明電路中產生了自激振蕩,電路不能穩壓,需消振。
綜上,UI應足夠大、采樣電阻不要太大,避免空載時調整管飽和;Re與Rc必須相互配合,避免差分放大電路中的差分管截止。即調整管和差分管在電網電壓的波動范圍內、輸出電壓的調節范圍內和負載電壓的變化范圍內始終工作在放大狀態,負反饋才能起作用,電路也才能穩壓。
【題目6】:如何正確理解穩壓電路的輸出電壓調節范圍,并據此選擇穩壓電路的元件參數?
【相關知識】:串聯穩壓電路的結構和工作原理。
【解題方法】:從極端條件出發,分析為保證輸出電壓的調節范圍,應如何選用合適的電路元件參數。
【解答過程】:穩壓電路的基本指標是輸出電壓和輸出電流,對于實用的直流電源,還應給出輸出電壓的調節范圍和最大負載電流。
穩壓電路的輸出電壓調節范圍~
,通常是指滿載的情況下,在電網電壓允許的波動范圍內,輸出電壓允許從
調到
,并且在輸出電壓的可調節范圍內,即
~
的任何數值下,當電網電壓在允許的波動范圍內輸出電流可以從0調到
(滿載)。
以如圖1所示的串聯型穩壓電源為例。

電路的輸入電壓UI是50Hz、220V的電網電壓通過電源變壓器、整流和濾波以后得到的;電網電壓允許的波動范圍是±10%,所以整流電壓UI的波動范圍也是±10%。若要求輸出電壓調節范圍是~
,輸出電流為0~
,則電路應滿足下列條件:
(1)T1的最大集電極電流,并留有余量。
(2)在時
可以調到
,即T1不飽和:
(3)在、
且
時T1不會因集電極功耗過大而損壞,即:
(4)此外,集成運放的輸出電壓和電流還應滿足調整管基極電位和電流的需要以上(1)~(3)是調整管的選取原則,(4)是集成運放的選擇原則。具體而言:若=5~15V;
=22V,波動范圍為±10%;
,則應選擇T1的極限參數為:
為留有一定的余地,可選取為1.2A,
為25V,
為20W的調整管T1。T1管壓降最小值:
管子沒有飽和,說明選取T1正合適,輸出電壓可以從5V調整到15V。
若T1、T2管的電流放大倍數分別為30和50,b-e間電壓均為0.7V,則要求集成運放輸出電流(即T2管的基極電流)最大值為:
要求集成運放輸出電壓變化范圍為:
可以以此作為標準選擇集成運放的依據。
【題目7】:串聯和并聯式開關穩壓電路各有什么特點?
【相關知識】:開關穩壓電路的特點、串聯式電路和并聯式電路的工作原理。
【解題方法】:開關型穩壓電路中調整管工作在開關狀態,因而功耗小,電路效率高。在較大功率范圍內逐漸取代了線性穩壓電源。串聯式和并聯式開關穩壓電源分別是兩種基本的開關變換模式,以它們為基本結構加以組合和變換,可以得到各種類型的開關變換電路。
【解答過程】:串聯式開關穩壓電路及其主要工作波形如圖1所示。

當晶體管T導通時,二極管D反向偏置而截止,其中電流瞬間轉移到晶體管T中。電感上的電壓:
(1)
電感電流在該電壓作用下線性上升。
(2)
電感電流在該電壓作用下線性下降。
從電感電壓UL的波形中可以獲得輸入電壓、輸出電壓和開關占空比的關系式。根據法拉第定律,穩態運行時電感電壓在一個周期內的伏秒積為零。即:
(3)
由此可得輸出電壓Uo為:
(4)
式(4)表明串聯式開關穩壓電路輸出電壓平均值正比于占空比D。當D從0變到1時,Uo從0變到Ud,且輸出電壓最大不超過Ud。由于變換器的輸出電壓總是小于輸入電壓,故串聯式開關穩壓電路也稱降壓變換器。工作中輸入電流在開關閉合時大于0,在開關斷開時等于0,因此降壓變換器的輸入電流是脈動的。對于脈動電流,在實際應用中應加以限制,否則會影響到其它電器的正常工作。不過輸出電流在電感L以及二極管D和電容C的作用下卻是連續、平穩的。
并聯式開關穩壓電路及其主要工作波形如圖2所示

當晶體管T導通時,二極管D反向偏置而截止。電感上的電壓:
(5)
電感電流按直線規律上升。
當晶體管T截止時,二極管D導通。電感上的電壓為:
(6)
電感中的電流按直線規律下降。
根據法拉第定律,穩態運行時電感電壓在一個周期內的伏秒積為零,即:
(7)
所以輸出電壓Uo為:
(8)
式(8)表明,Boost電路輸出電壓平均值總是大于輸入電壓,當D從0變到1時,Uo從Ud變到任意大。由于變換器的輸出電壓總是大于輸入電壓,故并聯式開關穩壓電路也稱升壓變換器。通常升壓變換器的輸入電流不是脈動的,紋波電流隨著電感L的增大而減小。晶體管輸出電流總是脈動的。而且,峰值電流較大,通過輸出端的濾波電容才能在負載上獲得連續而平穩的電流。
【題目8】:為什么采用精密整流電路,精密整流與普通整流電路有何不同?
【相關知識】:二極管伏安特性、單向導電性、半波和全波整流電路工作原理、精密整流電路工作原理。
【解題方法】:將交流電轉換為直流電稱為整流。全波整流電路的輸出保留輸入電壓的形狀,而僅僅改變輸入電壓的相位。半波和全波整流電路在功能上和精密整流一樣,由于二者的適用范圍不同,理解時應區分二者的結構和工作原理。
【解答過程】:當輸入電壓為正弦波時,半波整流電路的輸出電壓波形如圖1中uO1所示,全波整流電路的輸出電壓波形如圖1中uO2所示。

精密整流電路的功能是可以將微弱的交流電壓過零處附近準確轉換成直流電壓。
在圖2(a)所示為一般半波整流電路,由于二極管的伏安特性如圖(b)所示,當輸入電壓uI幅值小于二極管的開啟電壓Uon時,二極管在信號的整個周期均處于截止狀態,輸出電壓始終為零。即使uI幅值足夠大,輸出電壓也只反映uI大于Uon的那部分電壓的大小。在uI與Uon相差不大時,輸出整流波形在零區附近的失真非常明顯。因此,該電路不能對微弱信號整流。

圖3(a)所示為半波精密整流電路。當uI>0時,必然使集成運放的輸出<0,從而導致二極管D2導通,D1截止,電路實現反相比例運算,輸出電壓:
(1)
當uI<0時,必然使集成運放的輸出>0,從而導致二極管D1導通,D2截止,Rf中電流為零,因此輸出電壓u0=0。uI和u0的波形如圖(b)所示。

如果設二極管的導通電壓為0.7V,集成運放的開環差模放大倍數為50萬倍,那么為使二極管D1導通,集成運放的凈輸入電壓應為:
同理可估算出為使D2導通,集成運放所需的凈輸入電壓也具有同等數量級。可見,只要輸入電壓uI使集成運放的凈輸入電壓產生非常微小的變化,就可以改變D1和D2工作狀態,從而達到精密整流的目的。
圖3(b)所示波形說明當uI>0時u0=-KuI(K>0),當uI<0時u0=0。可以想象,若利用反相求和電路將-KuI與uI負半周波形相加,就可實現全波整流,此處不贅述。
一般整流電路通常用于需要通過整流獲得某恒定直流電壓的場合,如電子線路的控制電源等。通常在這種應用場合下不需計較整流輸出端的波形,而只關心濾波后獲得的直流電壓的大小。而精密整流常用作信號變換,因而除了相位關系的改變外,主要關心整流輸出波形與輸入波形的相符程度,任何微小的畸變都會影響精密整流的性能。


返回頂部
刷新頁面
下到頁底