1、無線電信號傳輸中,電波傳播損耗預測目的
掌握基站周圍所有地點處接收信號的平均強度及變化特點,以便為網絡覆蓋的研究以及整個網絡設計提供基礎。
2、方法
根據測試數據分析歸納出基于不同環境的經驗模型,在此基礎上對模型進行校正,使其更加接近實際,更準確
3、確定傳播環境的主要因素
(1)自然地形(高山、丘陵、平原、水域等)
(2)人工建筑的數量、高度、分布和材料特性
(3)該地區的植被特征
(4)天氣狀況
(5)自然和人為的電磁噪聲狀況
(6)系統的工作頻率和移動臺運動等因素
4、常用的幾種室外電波傳播損耗預測模型
(1)Hata模型
廣泛使用的一種適用于宏蜂窩的中值路徑損耗預測的傳播模型。 根據應用頻率的不同,分為Okumura-Hata 模型和COST 231 Hata模型。
(2)CCIR模型;
(3)LEE模型;
(4)COST 231 Walfisch-Ikegami 模型。
一、Okumura-Hata模型
1、適用范圍:
頻率范圍f:150-1500MHz
基站天線高度Hb:30-200m
移動臺高度Hm:1-10m
距離d:1-20km
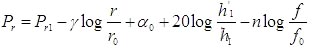
2、路徑損耗計算的經驗公式
d — 基站天線和移動臺天線之間的水平距離 (km);


二、COST 231-Hata模型
1、適用范圍:
頻率范圍 f:1500-2000MHz
基站天線高度 Hb:30-200m
移動臺高度 Hm:1-10m
距離 d:1-20km
2、路徑損耗計算的經驗公式

(2)頻率衰減系數不同
COST-231Hata模型頻率衰減因子為33.9
Okumura-Hata模型的頻率衰減因子為26.16
(3)COST-231Hata模型還增加了一個大城市中心衰減,大城市中心地區路徑損耗增加3dB。
三、CCIR模型
CCIR模型給出了反映自由空間路徑損耗和地形引入的路徑損耗聯合效果的經驗公式

1、優點
(1)模型中的主要參數易于根據測量值調整,適合本地無線傳播環境,準確性高。
(2)路徑損耗預測算法簡單,計算速度快。
2、應用
無線通信系統
3、分類
(1)LEE宏蜂窩模型
(2)LEE微蜂窩模型
4、LEE宏蜂窩模型
基本思路
先把城市當成平坦的,只考慮人為建筑物的影響,在此基礎上再把地形地貌的影響加進來;地形地貌影響的三種情況
(1)無阻擋
(2)有阻擋
(3)水面反射
無阻擋的情況
考慮地形影響,采用有效天線高度計算:
若
若


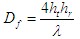
計算單個刃形邊的衍射損耗如下:

考慮兩種情況:
a.電波被阻擋,
接收功率(w)衰減系數
b.
計算單個刃形邊的衍射損耗Lr


5、LEE微蜂窩模型
小區路徑損耗預測公式為



1、應用
(1)用于建筑物高度近似一致的郊區和城區環境
(2)常用于移動通信系統(GSM/PCS/DECT/dcs)設計
(3)可計算基站發射天線高于、等于或低于周圍建筑物等不同情況的路徑損耗。
2、兩種情況
(1)視距傳播情況,路徑損耗
L1 —由沿屋頂下沿最近的衍射引起的衰落損耗
式中 w —接收機所在的街道寬度(m),
hR—建筑物的平均高度(m)
hm—接收天線的高度
φ—街區軸線于連結發射機和接收機天線的夾角
hB—發射天線高度, b—相鄰行建筑物中心距離
基站和移動臺之間水平距離d(km)
六、傳播模型的使用及評價
1、 Hata模型
(1)參數易獲得,模型易使用
(2)但未考慮建筑物的高度和密度、街道的分布和走向等重要因素的影響,預測值和實際值的誤差較大
2、 CCIR模型
(1)考慮了建筑物密度的影響,引入參數B(被建筑物覆蓋區域的百分比),且易獲得LEE模型
(2)適用于有測試數據時。主要參數易于根據測量值調整,準確性高。
(3)算法簡單,計算速度快
3、 COST 231-Walfisch-Ikegami 模型
(1)用于建筑物高度近似一致的郊區和城區環境
(2)發射天線可以高于、等于或低于周圍建筑物
Tags:無線電,電波傳播損耗,預測模型
責任編輯:admin無線電傳播中相鄰信道干擾
無線電中信噪比與帶寬的互換關系
無線電中駐波比是什么?移動通信中的駐波比
無線電陰影衰落傳播的基本特性
自由空間的無線電傳播理論
麥克斯韋方程 Y2T45 電磁波之-光波導 電磁波導 FDTD算法
X和Ku波段小尺寸無線電設計
認知無線電(Cognitive Radio)的主要組成部分
天線基礎知識及應用--鏈路及空間無線傳播損耗計算
天線基礎知識及應用--天線基本知識(補充)
天線基礎知識及應用--天饋系統知識問答
微波基礎知識,一文看懂巴倫(功能原理、性能參數、基本類型)
如何通過天線優化讓無產品傳輸距離更遠?
天線測試方法選擇及評估
天線基礎知識及應用--天線的分類與選擇
天線分集技術的原理
盤點半導體技術在毫米波上的應用
詳解DIY半波長振子無線發射檢儀電路圖
【推薦】動畫演示無線電傳播,史上最強的天線科普文,天線的作用…
- 此欄目下沒有熱點文章


返回頂部
刷新頁面
下到頁底