天線增益是指:在輸入功率相等的條件下,實際天線與理想的輻射單元在空間同一點處所產生的信號的功率密度之比。它定量地描述一個天線把輸入功率集中輻射的程度。增益顯然與天線方向圖有密切的關系,方向圖主瓣越窄,副瓣越小,增益越高。天線增益是用來衡量天線朝一個特定方向收發信號的能力,它是選擇基站天線最重要的參數之一。一般來說,增益的提高主要依靠減小垂直面向輻射的波瓣寬度,而在水平面上保持全向的輻射性能。天線增益對移動通信系統的運行質量極為重要,因為它決定蜂窩邊緣的信號電平。增加增益就可以在一確定方向上增大網絡的覆蓋范圍,或者在確定范圍內增大增益余量。任何蜂窩系統都是一個雙向過程,增加天線的增益能同時減少雙向系統增益預算余量。另外,表示天線增益的參數有dBd和dBi。dBi是相對于點源天線的增益,在各方向的輻射是均勻的;dBd相對于對稱陣子天線的增益dBi=dBd+2.15。相同的條件下,增益越高,電波傳播的距離越遠。一般地,GSM定向基站的天線增益為18dBi,全向的為0dBi。
中文名:天線增益
外文名:antenna gain
屬 于:移動通信系統
分 類:GSM
功 能:衡量天線收發信號的能力
簡述
當某種輻射源向空間輻射能量時,理想情況下能量是按球狀體散射開來,研究和實踐都發現,如果將這種能量輻射按某個方向集中發射,則能量所達到的距離以及該方向上所覆蓋的范圍都會有很大的提高。這種研究成果應用到無線通信中就是天線的由來。而天線增益則是用于定量的描述天線把輸入功率(能量)集中輻射的程度,從通信角度講,就是在某個方向上和范圍內產生信號能力的大小。
實際應用中,即使集中某個方向,天線還是會在空間各個方向都有大小不同的增益,天線增益通常是指產生最大增益的方向上的增益,數學上用公式
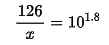
單位為dBi或者dBd,兩者的區別是參考基準不同,前者的參考基準是全方向性天線(在空間各個方向輻射特性相同的天線),后者的參考基準是偶極子天線(可以簡單理解為雙向天線)。為了更好的理解天線增益,用此公式舉例如下:要在空間某點產生一定大小的信號,用理想的輻射源如需126 W的輸入功率才能獲得,假設某個天線的增益為18 dBd,則用此天線需要輸入的功率大小用上面的計算公式列式為
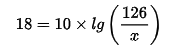
從此公式可以得到,
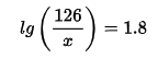
按照對數的定義可得,
則可以計算得出天線的功率大小。
由此可見,天線增益其實表示的是將理想的輻射能量在空間某點上放大的效果,此例中就是相當于將2 W的輻射能量放大到了126 W輻射能量所達到的效果,從這一點上來看,天線增益與有源電路增益相比有本質區別:有源電路的增益是定量描述某個器件將某個數值的功率真實放大到多少倍的能力。


返回頂部
刷新頁面
下到頁底