以LC諧振電路作為選頻環節的正弦波振蕩電路,統稱LC正弦波振蕩電路。這類振蕩電路能產生幾十kHz直到幾百MHz的正弦波信號,在高頻電路中用得比較多。
LC振蕩電路又分為變壓器反饋式、電感反饋式和電容反饋式三種,變壓器反饋式又稱互感反饋式振蕩電路。
一、變壓器反饋式LC振蕩電路
電路組成
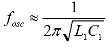
VT1接成共射極放大電路,集電極負載是電容C1和電感L1組成并聯諧振回路。
工作原理
反饋電壓通過電感L1和L2的互感耦合經電容到基極,形成正反饋。
振蕩頻率

二、電容反饋式振蕩電路
1、電容三點式振蕩電路之一
電路組成
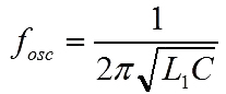
VT1屬共基極放大電路, LC諧振回路兩個串聯電容C1、C2接晶體管的三個極。
工作原理
屬電容三點式振蕩電路
振蕩頻率


2、電容三點式振蕩電路之二
電路組成
VT1接成共射極形式。
工作原理
電容三點式振蕩電路
振蕩頻率


3、改進型三點式振蕩電路
前述三點式振蕩電路存在問題:
極間電容和雜散電容形成的輸入輸出電容Ci和Co 限制了頻率的提高。
改進電路
電感支路串入一個小容量的電容C 

頻率決定于電容C,幾乎與C1、C2無關。C小,頻率就可以提高。
3、實用三點式振蕩電路
無繩電話的電容三點式正弦波振蕩電路,其中電容C1=15pF,C2=5.6pF,C3=4700pF,電阻R1=10kΩ,R2=1.8 kΩ,Re=330Ω,三極管VT1的型號為9018,所產生的正弦波頻率在88~108MHz之間。


返回頂部
刷新頁面
下到頁底