對于穩恒電流,安培環路定理可寫為
![]()
即磁場強度矢量沿任意閉合路徑的線積分等于該閉合回路所包圍的傳導電流的總和。由于傳導電流的連續性,在以曲線
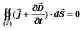
為邊線的任意兩個曲面 穿過的電流I相等。若把安培環路定理應用于含有電容器的非穩恒電路中,有
對
面 ![]()
對
面
在穿過以曲線
為邊線的任意兩個曲面
的電流不相等。說明在非穩恒情況下,安培環路定理原來的形式已不再適用,必須加以修改。麥克斯韋根據電場與磁場的相似性,推廣了安培環路定理,提出了位移電流假說,解決了上述矛盾。
2、位移電流假說
在非穩恒條件下,根據電荷守恒定律,單位時間內由
面流出的電量應等于
面內的電量減少,即
![]()

由介質中的高斯定理
![]()
得
即
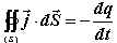
式中
為傳導電流密度,麥克斯韋將
定義為位移電流密度,用
表示,即
可見,位移電流就是變化的電場。而![]()
上式左邊表示流入閉合面的傳導電流,右邊表示流出閉合面的位移電流。且
![]()


返回頂部
刷新頁面
下到頁底