邏輯函數表達式的標準形式有標準“與-或”表達式和標準“或-與”表達式兩種類型。兩種標準形式是建立在最小項和最大項概念的基礎之上的。
1.最小項和最大項
(1)最小項
定義:如果一個具有n個變量的函數的“與項”包含全部n個變量,每個變量都以原變量或反變量形式出現一次,且僅出現一次,則該“與項”被稱為最小項。有時又將最小項稱為標準“與”項。
數目:n個變量可以構成2n個最小項。例如,3個變量A、B、C可以構成
、…、ABC共8個最小項。
簡寫:通常用mi表示最小項。下標i的取值規則是:按照變量順序將最小項中的原變量用1表示,反變量用0表示,由此得到一個二進制數,與該二進制數對應的十進制數即下標i的值。
例如,3變量A、B、C構成的最小項
可用m5表示。因為
性質:最小項具有如下4條性質。
性質1: 任意一個最小項,其相應變量有且僅有一種取值使這個最小項的值為1。并且,最小項不同,使其值為1的變量取值不同。
性質2:相同變量構成的兩個不同最小項相“與”為0。因為任何一種變量取值都不可能使兩個不同最小項同時為1,故相“與”為0。即
![]()
性質3:n個變量的全部最小項相“或”為1。通常借用數學中的累加符號“Σ”,將其記為
![]()
這是因為對于n個變量的任何一種取值,都有相應的一個最小項為1,因此,全部最小項相或必為1。
性質4:n個變量構成的最小項有n個相鄰最小項。
相鄰最小項是指除一個變量互為相反外,其余部分均相同的最小項。例如 ,三變量最小項
和ABC。
。2)最大項
定義:如果一個具有n個變量的函數的“或”項包含全部n個變量,每個變量都以原變量或反變量形式出現一次,且僅出現一次,則該“或”項被稱為最大項。有時又將最大項稱為標準“或”項。
數目:n個變量可以構成2n 個最大項。例如,3個變量A、B、C可構成A+B+C、
共8個最大項。
簡寫:通常用Mi表示最大項。下標i的取值規則是:按照變量順序將最大項中的原變量用0表示,反變量用1表示,由此得到一個二進制數,與該二進制數對應的十進制數即下標i的值。
例如,3個變量A、B、C構成的最大項
可用M5表示。因為

性質:最大項具有如下4條性質。
性質1:任意一個最大項,其相應變量有且僅有一種取值使這個最大項的值為0。并且,最大項不同,使其值為0的變量取值不同。
性質2:相同變量構成的兩個不同最大項相“或”為1。因為任何一種變量取值都不可能使兩個不同最大項同時為0,故相“或”為1,即
![]()
性質3:n個變量的全部最大項相“與”為0。通常借用數學中的累乘符號“Π”將其記為

這是因為對于n個變量的任何一種取值,都有相應的一個最大項為0,因此,全部最大項相與必為0。
性質4:n個變量構成的最大項有n個相鄰最大項。相鄰最大項是指除一個變量互為相反外,其余變量均相同的最大項。
。3)最小項與最大項的關系
在同一問題中下標相同的最小項和最大項互為反函數,或者說,相同變量構成的最小項mi和最大項Mi之間存在互補關系。即
或 ![]()
2.邏輯函數表達式的標準形式
。1)標準與-或表達式
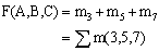
由若干最小項相“或”構成的邏輯表達式稱為標準“與-或”表達式,也叫做最小項表達式。例如,
是一個3變量函數的標準“與-或”表達式。 該函數表達式又可
簡寫為
。2)標準或-與表達式
由若干最大項相“與”構成的邏輯表達式稱為標準“或-與”表達式,也叫做最大項表達式 。例如,
是一個3變量函數的標準“或-與”表達式。該表達式又可簡寫為
![]()


返回頂部
刷新頁面
下到頁底