電路的共模抑制比不僅取決于電阻的匹配精度,還取決于運算放大器的共模抑制比、開環增益和輸入阻抗等參數,甚至電路的分布參數也會影響電路的共模抑制比;静顒臃糯笃



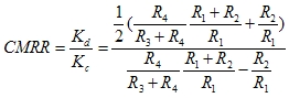
共模抑制比CMRR為
工程上為了減少器件品種和提高工藝性,常常使
此時
實際上,電路的共模抑制比不僅取決于電阻的匹配精度,還取決于運算放大器的共模抑制比、開環增益和輸入阻抗等參數,甚至電路的分布參數也會影響電路的共模抑制比。這種差動放大電路結構簡單,但輸入電阻較低,增益調節困難,使其應用受到很大限制。
Tags:減法運算,減法運算電路
責任編輯:admin相關文章列表
沒有相關文章 [ 查看全部 ] 網友評論
推薦文章
最新推薦
熱門文章


返回頂部
刷新頁面
下到頁底