如:"十下五百上二,二五三五四三界,七零九五兩倍半,穿管溫度八九折,銅線升級算,裸線加一半。"
電纜
還有:
"二點五下乘以九,往上減一順號走。
三十五乘三點五,雙雙成組減點五。
條件有變加折算,高溫九折銅升級。
穿管根數二三四,八七六折滿載流。"
電纜
對于這兩個口訣的含義想必電工朋友都不陌生,不明白的朋友可以網上搜索一下,這里不再做解釋。
從這兩個口訣可以看出一個問題,就是截面積越粗的電纜,每平方的載流量越小。對于這個原因,很多人會聯想到電流的"集膚效應"。
集膚效應:當導體中有交流電或者交變電磁場時,導體內部的電流分布不均勻,電流集中在導體的"皮膚"部分,也就是說電流集中在導體外表的薄層,越靠近導體表面,電流密度越大,導線內部實際上電流較小。結果使導體的電阻增加,使它的損耗功率也增加。這一現象稱為集膚效應。
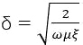
對于集膚效應的深度可以通過公式計算:
ξ——導體電導率,且ξ=1/ρ,ρ為導體電阻率
μ——導體材料的磁導率
δ——集膚深度
ω——角頻率,且ω=2πf,f為電流頻率
集膚效應和交流電的頻率有關,頻率越高,集膚效應越顯著。所以在高頻電路中影響比較大,對于50HZ工頻電,集膚效應可以忽略不計。但對于低頻率特大電流,也要考慮集膚效應的影響。
因此,上述問題,平時工作中遇到的電纜截面積越大,每平方載流量越小的主要原因是大電流會造成較大發熱量,不利于散熱的因素。


返回頂部
刷新頁面
下到頁底