焊接—指通過加熱將被焊件達到熔化狀態或加壓或兩法并用,利用原子間的擴散與結合,使兩個或兩個以上的工件結合到一起的連接方法。
焊接可以用填充材料也可以不用填充材料。
可以適用于金屬和非金屬的連接。
焊接的優缺點(相對于鉚接、鑄造、螺釘連接 ):
焊接方法的分類:
應用:熔化焊接工作量巳約占整個鍋爐壓力容器制造工作量的30%以上,具有強度高、致密性好,工藝成熟可靠,構件材質、厚度適應范圍大。
承壓類特種設備常用的焊接方法:
手工電弧焊(SMAW):
1、原理:是利用焊條與焊件之間的電弧熱,將焊條及部分焊件熔化而形成焊縫的焊接方法。
2、特點:設備簡單,便于操作,適用于室內外各種位置的焊接。但效率低,勞動強度大,對焊工技術水平及操作技能要求較高。
3、焊接規范(工藝參數):焊條種類和直徑、焊接電流、電弧電壓、焊機種類和極性、焊接速度、焊接層數等。
4、種類:
交流電焊機:弧焊變壓器。
直流焊機:旋轉式直流電焊機、硅整流式直流電焊機、可逆變電焊機等。
5、要求:
能保證電弧穩定燃燒,并在一定的范圍內調節焊接電流的大小。設備結構應簡單、成本低、效率高、節省電能、噪聲小。
6、接法:
7、焊條:
①組成:手工電弧焊焊條主要是由焊芯、藥皮(其成分有穩弧劑、造渣劑、造氣劑、脫氧劑、合金劑、稀渣劑、粘結劑和增塑劑八種)組成。
②成分作用:
焊芯作用:一是作為電極產生電弧,二是在電弧作用下熔化并作為填充金屬與熔化了母材混合形成焊縫。
藥皮作用:
一是穩弧作用;二是保護作用,藥皮熔化時產生大量氣體籠罩著電弧區和熔池,保證熔池及熔融金屬與空氣隔絕開,藥皮熔化后形成的熔渣可防止焊縫表面金屬不被氧化并減緩冷卻速度,改善焊縫成形;
三是冶金作用,藥皮形成熔渣并通過熔渣與熔池中熔化金屬的化學化應,以減少氧、硫等有害物質對焊縫金屬的危害,使焊縫金屬獲得符合要求的力學性能;
四是摻合金元素,通過在藥皮中加入某些鐵合金或純合金元素,以彌補焊接過程中某些合金元素的燒損,達到提高焊縫金屬的力學性能;
五是改善焊接的工藝性能,通過調整藥皮成分,可改變藥皮的熔點和凝固溫度,使焊條末端形成套筒,產生定向氣流,有利于熔滴過渡,可適應各種焊接位置的需要 。
③焊條的種類:
A.按用途分:可分為碳鋼焊條、低合金鋼焊條、不銹鋼焊條、鉻和鉻鉬耐熱鋼焊條、低溫鋼焊條、堆焊焊條、鋁及鋁合金焊條、鎳及鎳合金焊條、銅及銅合金焊條、鑄鐵焊條和特殊用途焊條等。
B.按藥皮形成熔渣的酸堿性分:可分為堿性焊條(熔渣堿性>1.5)和酸性焊條(熔渣堿性<1.5)兩大類。
④焊條的應用:
酸性焊條:工藝性能良好,成形美觀,對銹、油、水等敏感度不大,抗氣孔能力強,但對合金元素燒損較大,氮、氧含量高,不易脫硫磷,熔渣粘性較強,不易脫渣,焊縫金屬的力學性能(特別是沖擊韌性)較低,故只適用于一般結構件的焊接;
堿性焊條:脫氧、脫硫磷性能好,熔渣流動性好,在冷卻過程中渣粘度增加很快(稱為“短渣”),.熔敷金屬含氫量低,所以又稱“低氫焊條”,其形成的焊縫金屬抗裂性能好,有較高的力學性能,特別是沖擊韌性較高。但在焊接過程中對銹、油、水較敏感,易產生氣孔,在深坡口中施焊脫渣性不好,電弧穩定性差,一般只適用于直流電源施焊。堿性焊條多用于焊接重要結構件、高壓鍋爐和壓力容器制造。
8、手工電弧焊的焊接位置及特點
埋弧自動焊(SAW):
1、埋弧自動焊定義:
焊接過程中,主要焊接操作如引燃及熄滅電弧、送進焊條(焊絲)、移動焊條(焊絲)或工件等都由機械自動完成,叫自動電弧焊。
自動電弧焊中,電弧被埋在焊劑層下面燃燒并實施焊接的,叫埋弧自動焊。
2、埋弧自動焊的特點:
A.能采用大的焊接電流,電弧熱量集中,熔深大,焊絲可以連續送進而不象焊條那樣頻繁更換,所以效率比手工焊高5~10倍;
B.焊劑和熔渣能嚴密包圍著焊接區,空氣難以入侵,高的焊速可以大大減小熱影區范圍,同時自動操作使焊接規范參數穩定,焊縫成分均勻,外形光滑美觀,焊接質量良好、穩定。
C.熱量集中,焊縫金屬沒有飛濺損失,沒有廢棄的焊條頭,工件厚度小時可以不開坡口,從而節省金屬材料和電能。
D.光弧不可見,煙霧少,機械化操作,勞動強度小,勞動條件大大改善。
E.設備復雜昂貴,對工件接頭加工與裝配要求嚴格,焊接位置受到一定的限制,一般總是在平焊位置焊接。(缺點)
3、焊接規范:焊接電流、電弧電壓、焊接速度、焊絲直徑和伸出長度等
4、埋弧自動焊的應用:
常用于焊接長的直線焊縫及大直徑圓筒形容器的環焊縫。
氬弧焊(GTAW)(GMAW):
1、氬弧焊定義:是以惰性氣體氬氣作為保護氣體的一種電弧焊接方法 。
2、方法分類:
依照電極是否熔化可分為熔化極氬弧焊(GMAW)和非熔化極氬弧焊(GTAW又稱鎢極氬弧焊)。
3、氬弧焊特點:
①適于焊接各種鋼材、有色金屬及合金,焊接質量優良;
②電弧和熔池用氣體保護,清晰可見、易控制,便于實現全位置自動化焊接;
③電弧在保護氣流壓縮下燃燒,熱量集中,熔池較小,焊接速度較快,熱影響區較小,工件焊接變形較小;
④電弧穩定,飛濺少,焊縫致密性好,成形美觀;
⑤成本昂貴,設備和控制系統較復雜,鎢極氬弧焊生產效率低,只能焊接薄壁構件(缺點)。
4、焊接規范:焊接電流、電弧電壓、焊接速度、焊絲直徑、氬氣流量、噴嘴直徑等。
5、氬弧焊的應用:
鎢極氬弧焊適用于工件厚度較小、接頭根部質量要求嚴格的、或是材質對焊接方法有特殊要求的焊接接頭的焊接。
鎢極氬弧焊時一般采用正接法。
鎢極氬弧焊時電流過大會燒損鎢極,使焊縫夾鎢。
二氧化碳氣體保護焊:
1、二氧化碳氣體保護焊定義:
以二氧化碳氣體作為保護氣體的電弧焊接方法,叫二氧化碳氣體保護焊。
它是以焊絲作為電極,靠焊絲與工件之間產生的電弧熱熔化焊絲和工件,形成焊接接頭。
2、特點:成本低、質量好、效率高、操作性能好。
但當采用較大焊接電流時,飛濺大而多,煙霧多,弧光強。焊縫表面成形不夠光滑美觀,操作不當時,易產生氣孔。設備比較復雜。
3、焊接規范:接頭及坡口形式、焊材牌號和規格、電弧電壓焊接電流和焊接速度、氣體流量和使用噴嘴的直徑、焊機接法、焊接方向、焊縫層道及順序安排等。
4、應用:常用于低碳鋼、低合金鋼壓力容器的接頭的焊接,如球形容器的現場組焊。
1)焊接接頭形式:
2)對接接頭坡口形式:
3)對接接頭坡口形式的選擇原則:
一是要保證焊透;
二是要盡量減少填充接頭的焊縫金屬;
三是要便于施焊,改善勞動條件,盡量減少在容器內的焊接工作量;
四是要能減少焊接變形量,對較厚的工件應選用沿厚壁開對稱的坡口。
壓力管道基本采用V型坡口,超高壓鍋爐壓力容器常常采用U型雙U型坡口。
4)接頭的應用:
①對接接頭:將兩金屬構件位于同一平面內(或曲面內),使其邊緣相對,沿邊緣直線(或曲線)進行焊接的接頭叫對接接頭。
主要應用于鍋爐壓力容器殼體的A、B類焊縫及壓力管道對接焊縫。其坡口形式主要有Ⅰ字型、V型、X型、單U型和雙U型。
②搭接接頭及應用:兩塊金屬構件相疊,而在其端部(或側面)進行角焊的接頭稱搭接接頭。它是現場大型薄壁常壓儲罐制造時常選用的一種接頭形式。壓力容器一般很少采用。
③角接接頭和T型接頭及應用:
兩金屬構件成直角或成一定的角度,而在其連接端邊緣進行焊接的接頭稱角接接頭,當兩構件成T字型焊接在一起的接頭稱T型接頭。鍋爐壓力容器的平端蓋與筒體的連接部位、管板與筒體的連接部位常采用這種接頭形式。
常采用的坡口形式有V型、單邊V型、U型、K型等。
焊接接頭的組成:
1、接頭組成:
焊縫(OA)、熔合區(AB)和熱影響區(AC)三部分。
2、焊縫(OA):
是構件經焊接后形成的結合部分,通常是由熔化的母材和焊材組成,有時全部由熔化的母材組成。
3、熔合區(AB)和熔合線:
熔合區是焊接接頭中焊縫焊材金屬與母材金屬交界的結合區域,又稱不完全熔化區域。熔合區域混合金屬與焊縫純焊材金屬分界線稱為熔合線。其接頭橫斷面,經3%硝酸酒精溶液腐蝕可顯示出焊縫金屬輪廓線。
4、熱影響區:
焊接接頭在焊接或切割過程中,材料因受熱的影響(但未熔化)而發生的金相組織和力學性能變化的區域。其區域的寬度與焊接方法、焊接工藝及參數(熱輸入)、構件厚度等有關。
不同焊接方法熱影響區平均尺寸表
焊接接頭的組織性能:
1.接頭形成過程:焊接接頭中,焊縫金屬是高溫液態冷卻至常溫固態的。這期間經歷了兩次結晶過程,即從液相轉變為固相的一次結晶過程和在固相狀態下發生組織轉變的二次結晶過程。
焊縫金屬的一次結晶過程如下:
結晶最先發生在熔池中溫度最低的熔合線部位,隨著熔池溫度的降低,晶體逐漸長大,在長大過程中,由于相鄰晶體的阻礙,晶體只能向熔池中心生長,從而形成柱狀晶,當柱狀晶體長大至相互接觸時,一次結晶過程即結束。
一次結晶過程中,由于冷卻速度快,焊縫金屬元素來不及擴散,會產生化學成份分布不均勻現象,這種現象稱為—偏析,偏析有可能使焊縫力學性能和耐腐蝕性能不均勻,還有可能產生缺陷,例如熱裂紋的產生與偏析有關。
焊縫金屬的二次結晶的組織和性能與焊縫的化學成份、冷卻速度及焊后熱處理有關。
低碳鋼和低合金鋼在平衡狀態下的二次結晶組織是鐵素體加少量珠光體,當采用奧氏體不銹鋼焊接材料時,則焊縫組織一般為奧氏體加少量鐵素體。
2、不易淬火鋼(低碳鋼和低合金鋼)熔合區、熱影響區的組織和性能
定義:在一般焊接條件下淬火傾向較小的,如低碳鋼和含合金元素很少的低合金鋼,稱為“不易淬火鋼”。含碳量較高或含合金元素較多,在一般焊接條件下淬火傾向較大,稱為“易淬火鋼”。
①熔合區(不完全熔化區):此區為熔合線附近焊縫金屬到母材金屬的過渡部分,溫度處于固相線和液相線之間,金屬處于局部熔化狀態,晶粒粗大,組織和化學成分不均勻,冷卻后的組織屬于過熱組織。該區域很小,但對接頭的強度、塑性影響較大。熔合區附近是產生裂紋和局部脆性破壞的發源地。
②熱影響區:
A.過熱區(晶粒粗大區):此區段金屬處于1100℃以上,晶粒粗大,冷卻后會出現粗大的魏氏組織(鐵素體呈針狀不規則交叉),使材料塑性和韌性大大降低。
該區域大小取決于焊接方法和焊接規范,焊接速度越快,過熱區越小。其力學性能取決于冷卻速度,冷卻速度提高,過熱區強度、硬度則增高,塑性及韌性則降低。
B.正火區(重結晶區):
此區加熱溫度在Ac3以上至1100℃,此間鐵素體和珠光體全部轉變為晶粒較小的奧氏體,冷卻后得到均勻細小的鐵素體和珠光體。該區段相當于熱處理正火組織,晶粒細小均勻,既有較高的強度,又有較好的塑性。
C.部分相變區:
此區加熱溫度范圍在Ac1~Ac3之間,在此溫度下,珠光體及部分鐵素體轉變為晶粒較小的奧氏體,另一部分鐵素體在升溫中晶粒長大成為粗大的鐵素體。冷卻后,既有經過重結晶的細晶粒鐵素體和珠光體,又有晶粒大小極不均的鐵素體,其力學性能較差。
3、焊接接頭的力學性能評價:
①焊縫:由于焊縫金屬的化學成份較合理,二次結晶的晶粒較細,所以焊縫部位的金屬具有較好的力學性能,加上余高使焊縫部位受力截面增大(但余高不能增加整個接頭的強度),故焊縫不是接頭力學性能薄弱部位。
②熔合區:熔合區是結構和應力不連續的部位,是應力集中嚴重區段、是產生裂紋和局部脆性破壞的發源地,是接頭最薄弱部位。
③熱影響區:此區段是晶粒粗大且不均勻,易出現粗大的魏氏組織,力學性能較差,又是結構和應力不連續的部位,是應力集中嚴重區段,其薄弱程度僅次于熔合區。
焊接應力及變形的概念及分類:
1、定義:在焊接過程中,工件受電弧熱的不均勻加熱而產生的內應力及變形是暫時的。當工件冷卻后,仍然保留在工件內部的內應力及變形叫著殘余內應力及殘余變形。我們所說的焊接應力及變形就是指的焊接的殘余內應力和焊接的殘余變形。
2、分類:
1)焊接應力的分類
引起的原因:熱應力、組織應力;
存在的時間:瞬時應力、殘余應力;
作用的方向:縱向應力、橫向應力;
空間的方向:單向應力、兩向應力、三向應力。
2)焊接變形的分類
大體可分為:縱向變形、橫向變形、彎曲變形、角變形、波浪變形及扭曲變形等。
3、焊接應力及變形的特點
1)使焊接產品質量下降,甚至會因無法補救而不得不報廢;
2)焊接裂縫的產生與焊接應力有密切關系。
3)焊縫中的殘余應力還會影響承壓類特種設備的使用性能,應力較大的部位會發生應力腐蝕或疲勞裂紋。
4)一般情況下,焊接變形對焊接質量是不利的,但是若掌握了變形的機理與規律,便可控制并利用它,例如,利用反變形來校正變形。
焊接變形和應力是由許多因素同時作用造成的。其中最主要的因素有:
(1)焊件上溫度分布不均勻;
(2)熔敷金屬的收縮;
(3)焊接接頭金屬組織轉變;
(4)工件的剛性約束;
(5)焊接變形和應力還與焊接方法及焊接工藝參數有關。
1、控制內應力的基本要點:
(1)使焊件上熱量盡量均勻;
(2)盡量減少對焊縫自由收縮的限制。
2、通常采用的工藝措施:
1)合理的裝配與焊接順序
主要是在裝配和施焊的順序安排上盡量使焊縫能比較自由的收縮。
2)焊前預熱
預熱既能減少工件各部位的溫差,又能減緩冷卻速度,所以是降低焊接殘余應力的有力措施之一。
預熱可局部預熱或整體預熱。對剛性大、厚度大的工件,應整體預熱,這樣降低殘余應力的效果更佳。
3)合理設計焊接結構形式,
例如:對稱布置焊縫、避免封閉焊縫等。以及對阻礙焊接接頭自由收縮的部位加溫,使之與焊縫同步伸縮,這種方法稱為“減應法”。
4.消除焊接應力的方法
1.熱處理法:焊后熱處理是消除殘余應力的有效方法,也是廣泛采用的方法。它可分為整體熱處理和局部熱處理。一般是將被焊工件加熱到A1線以下,保溫均溫,再緩慢冷卻,以達到殘余應力消除。如Q235B、16MnR材料焊后熱處理的溫度一般選為625±25℃。 2.機械法:用機械的方法施加外力使冷卻后的焊縫金屬產生延展,以達到消除應力的目的,這種方法叫機械法消除應力。如錘擊焊縫;在卷板機上壓輾焊縫;對焊接結構實行有控制的過載等都是機械法消除應力的方法。
3.振動法:以低頻振動整個構件以達到消除應力的目的。一般鋼結構件需要消除應力時常采用 。
鍋爐壓力容器常用鋼材的焊接:
鋼材的焊接性:
1、鋼材的焊接性:
是指被焊鋼材在采用一定的焊接方法、焊接材料、焊接規范參數及結構形式的條件下,獲得優質焊接接頭的難易程度。焊接性是一個與條件有關的相對概念.
2、焊接性的評價:
一是工藝焊接性,主要是評價接頭的抗裂性;
二是使用焊接性,主要是評價接頭使用的可靠性,如接頭的力學性能(強度、塑性、韌性、硬度以及抗裂紋擴展能力等)和其他特殊性能(耐熱、耐腐蝕、耐低溫、抗疲勞、抗時效等)。
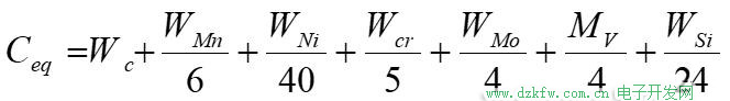
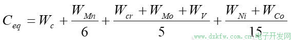
焊接性的估算(碳當量法):
1)鋼材的焊接性主要取決于鋼材的化學成分,取決于鋼中碳及各種合金元素的含量,其中碳對焊接性的影響最大。
2)工程上通常用碳當量Ceq估算鋼材的焊接性,即以鋼中碳的百分含量為基礎,將其他合金元素的百分含量折算成碳的含量,其總和即為鋼的碳當量。
3)經驗公式:
IIW(國際焊接學會)推薦的公式
英國BS2462推薦的公式:
日本WES-135和JIS-3106推薦的公式:
4)一般經驗認為:
當碳當量Ceq<0.4%時,焊接性較好,在一般焊接條件下施焊即可,不必預熱焊件;
當碳當量Ceq=0.4%~0.6%時,焊接時需要采取預熱等適當的工藝措施。
當碳當量C>0.6%時,難于焊接,需采取較高的焊件預熱溫度和嚴格的工藝措施。
5)碳當量法主要是對焊接產生冷裂紋傾向及脆化傾向的一種估算方法,難于全面及準確地衡量鋼材的焊接性。鋼材焊接性還受鋼板厚度、焊后應力條件、氫含量等因素的影響。除估算碳當量外,還應進行焊接性試驗,以作為制訂合理焊接工藝規范的依據。
控制焊接質量的工藝措施:
1、控制焊接質量的主要措施:
①預熱;②控制焊接能量參數;③多層焊多道焊;④緊急后熱;⑤焊條烘烤和坡口清潔
2、承壓類特種設備焊接工藝:
承壓類特種設備使用最多的是低合金高強度鋼,其焊接最重要的原則是避免淬硬組織和控制冷裂紋,所采用的措施除了合理選用焊接材料外,主要是控制焊接工藝。增大焊接線能量E和提高預熱溫度以及采用多道焊工藝措施可減少焊接接頭的冷裂傾向、避免硬化組織產生,且有利氫的逸出。焊后消氫處理和焊后消除應力熱處理也是改善接頭性能的常用方法。此外,焊條的烘烤和坡口的清潔對減少氣孔缺陷至關重要。
低碳鋼的焊接:
1、承壓類特種設備常用低碳鋼
2、低碳鋼的焊接性
①有較好的塑性,沒有淬硬傾向,對焊接加熱或冷卻不敏感,焊縫及熱影響區不易產生裂紋。
②一般焊前不需要預熱,但對大厚度構件或在低溫環境下焊接,應適當預熱。
③平爐鎮靜鋼雜質很少,偏析很小,不易形成低熔點共晶,所以對熱裂紋不敏感。沸騰鋼中雜質較多,產生熱裂紋的可能性大,因而Q235AF的使用受到嚴格限制,只能用于低壓(p≤0.6MPa),小型及普通介質容器。
④焊接工藝不合理時,可能會出現熱影響區粗晶現象,且隨著溫度提高和停留時間的延長,晶粒粗大現象更嚴重。
⑤可采用交、直流電源,各種位置的焊接,且工藝簡單。
3、低碳鋼焊接方法:有手工電弧焊、埋弧自動焊、電渣焊、氣體保護焊等。
4、低碳鋼焊接的工藝措施
(1)當焊件較厚,剛性較大,同時又要求接頭的質量較高時,焊后往往要求進行回火處理,以消除焊接應力,改善焊接接頭的組織與性能。
(2)在低溫下焊接時,特別是焊接厚度大、剛性大的結構時,由于環境溫度低、焊接接頭焊后冷卻速度大,裂紋傾向相應增大,所以焊前應預熱。如低碳鋼管道焊接時,在-20℃下施焊,管厚小于16mm可以不預熱;管厚大于16mm則要求預熱100~200℃。
(3)電渣焊焊后必須進行正火處理,以改善焊接接頭的組織和性能。保證焊接質量。
低合金鋼的焊接:
1、低合金鋼的材料特點
低合金鋼具有較高的強度,較好的塑性與韌性,工藝性能也較好,特別是強度比低碳鋼高得多,因而在承壓類特種設備制造中得到廣泛的應用。
2、常用低合金鋼及其碳當量
鋼材的強度等級越高,碳當量越大,可焊性越差。
3、低合金鋼的焊接特點
①熱影響區有淬硬傾向,易出現脆性馬氏體,硬度明顯提高,塑性和韌性降低。其淬硬傾向程度取決于構件材質和結構,焊接方法及規范參數,構件預熱溫度和環境溫度。
②易產生焊接冷裂紋。冷裂紋具有延遲性,是焊接接頭焊后冷卻到300℃至室溫范圍所產生的裂紋。隨著構件材質強度等級的提高,其產生冷裂紋的傾向也增大。通常是出現在熱影響區、焊縫根部和焊趾處。冷裂紋發生機率一是取決于熱影響區的氫含量,二是取決于熱影響區的淬硬程度,三是取決于接頭剛度和焊接應力的大小。
奧氏體不銹鋼的焊接:
1、奧氏體不銹鋼的焊接性
奧氏體不銹鋼的焊接性較好,一般不需要采取特殊的工藝措施。焊接工藝選擇不合理時,會出現晶間腐蝕及熱裂紋等缺陷。
2、晶間腐蝕
①晶間腐蝕原因分析:不銹鋼在450~850℃的范圍內停留(焊接必然過程),鋼中的碳會向奧氏體晶界擴散,并在晶界處與鉻化合析出碳化鉻,使晶間附近成為“貧鉻區”而產生晶間腐蝕。大多出現在接頭熱影響區及熔合區的表面。
②防止和減少晶間腐蝕的措施:
a.使焊縫形成雙相組織。將鐵素體形成元素鉻、硅、鉬、鋁加入焊縫中,使焊縫形成奧氏體加鐵素體的雙相組織。
b.嚴格控制含碳量。采用含碳量為0.02%-0.03%的超低碳焊接材料和基本金屬。
c.添加穩定劑。在鋼材和焊接材料中加入能夠形成更穩定的碳化物(與碳化鉻相比)的元素,如鈦、鈮等。
d.進行焊后熱處理。焊后可加熱到1050~1100℃進行固溶處理,也可加熱到850~900℃進行穩定化退火,此時奧氏體晶粒內的鉻擴散到晶間,使晶間含鉻量上升,貧鉻區消失,因而可防止晶間腐蝕。
e.采用正確的焊接工藝。如采用小電流、大焊速、短弧、多層焊、強制冷卻等。
3、熱裂紋
①熱裂紋原因分析:主要是由于奧氏體不銹鋼焊縫中枝晶方向性很強,枝晶間有低熔點雜質的偏析,加之奧氏體不銹鋼導熱系數小(僅為低碳鋼的1/2),而膨脹系數比低碳鋼大50%左右,使焊縫區產生較大的溫差和收縮內應力,所以焊縫中易產生熱裂紋。
②防止熱裂紋措施
a.在焊縫中加入形成鐵素體的元素,使焊縫形成奧氏體加鐵素體雙相組織。
b.減少母材和焊縫的含碳量。碳是增大熱裂傾向的重要元素,所以降低母材和焊縫的含碳量可以有效地防止熱裂紋。在必要時,可以采用超低碳奧氏體不銹鋼材和焊接材料。
c.嚴格控制焊接規范。減小熔合比,采用堿性焊條,強迫冷卻等,是奧氏體不銹鋼焊接中預防熱裂裂紋主要工藝措施。
4、焊接方法
奧氏體不銹鋼可用手工電弧焊、氬弧焊、埋弧自動焊、等離子焊等方法焊接。


返回頂部
刷新頁面
下到頁底