1、RC 串聯電路
以電流
為參考矢量,根據電阻、電容元件上的電壓與電流的位相關系畫出
串聯電路的矢量圖。由矢量圖得總電壓與各元件上分電壓的有效值關系為
![]()


因為![]()
![]()
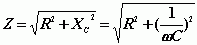
則總電壓與電流的有效值之間的關系為
![]()
其中
稱為
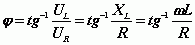
串聯電路的等效阻抗。那么,總電壓與電流的位相關系為![]()
它亦稱阻抗角。
由此可見,
串聯電路的總電壓與電流的位相差等于等效阻抗的阻抗角。由于
,表示電壓的位相落后于電流,電路呈電容性。
2、RL 串聯電路
以電流
為參考矢量,根據電阻、電感元件上的電壓與電流的位相關系畫出
串聯電路的矢量圖。由矢量圖得總電壓與各元件上分電壓的有效值關系為
![]()


因為 ![]()
![]()
則總電壓與電流的有效值之間的關系為![]()
其中
稱為
串聯電路的等效阻抗。那么,總電壓與電流的位相關系為
由此可見,
串聯電路的總電壓與電流的位相差等于等效阻抗的阻抗角。由于
,表示電壓的位相超前于電流,電路呈電感性。
Tags:RC串聯電路,RL串聯電路,電壓計算,串聯電路
責任編輯:admin [ 查看全部 ] 網友評論
推薦文章
最新推薦
熱門文章
- · 三極管放大電路計算
- · 三極管參數大全
- · 電路入門 極簡穩壓三極管電路圖講解
- · 實繪電蚊拍電路圖
- · 電容的單位是什么?
- · 戴維南等效電路定理
- · 場效應管電機驅動-MOS管H橋原理
- · 左手定則圖解,判斷洛倫茲力方向
- · 555內部結構,特點及引腳圖
- · 常用晶體三極管參數
- · 調幅電路原理
- · 雪崩擊穿


返回頂部
刷新頁面
下到頁底