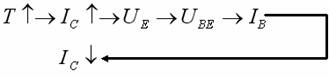
一、共發射極放大電路
(一)電路的組成:電源VCC通過RB1、RB2、RC、RE使晶體三極管獲得合適的偏置,為三極管的放大作用提供必要的條件,RB1、RB2稱為基極偏置電阻,RE稱為發射極電阻,RC稱為集電極負載電阻,利用RC的降壓作用,將三極管集電極電流的變化轉換成集電極電壓的變化,從而實現信號的電壓放大。與RE并聯的電容CE,稱為發射極旁路電容,用以短路交流,使RE對放大電路的電壓放大倍數不產生影響,故要求它對信號頻率的容抗越小越好,因此,在低頻放大電路中CE通常也采用電解電容器。
Vcc(直流電源): 使發射結正偏,集電結反偏;向負載和各元件提供功率
C1、C2(耦合電容): 隔直流、通交流;
RB1、RB2(基極偏置電阻): 提供合適的基極電流
RC(集極負載電阻): 將 DIC ? DUC ,使電流放大 ? 電壓放大
RE(發射極電阻): 穩定靜態工作點“Q ”
CE(發射極旁路電容): 短路交流,消除RE對電壓放大倍數的影響
(二)直流分析:開放大電路中的所有電容,即得到直流通路,如下圖所示,此電路又稱為分壓偏置式工作點穩定直電流通路。電路工作要求:I1 ?(5~10)IBQ,UBQ? (5 ~ 10)UBEQ 838電子
求靜態工作點Q:
方法1.估算
工作點Q不穩定的主要原因:Vcc波動,三極管老化,溫度變化穩定Q點的原理:
方法2.利用戴維寧定理求 IBQ
(三)性能指標分析
將放大電路中的C1、C2、CE短路,電源Vcc短路,得到交流通路,然后將三極管用H參數小信號電路模型代入,便得到放大電路小信號電路模型如下圖所示。
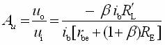
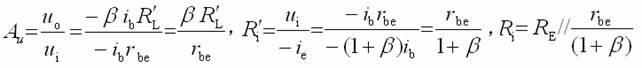
1.電壓放大倍數
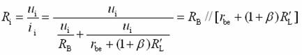
2.輸入電阻計算
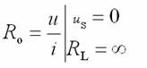
3.輸出電阻 Ro = RC
沒有旁路電容CE時:
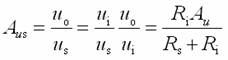
1.電壓放大倍數
源電壓放大倍數
2.輸入電阻
3.輸出電阻 Ro = RC
二、共集電極放大電路 (射極輸出器、射極跟隨器)
(一)電路組成與靜態工作點
共集電極放大電路如下圖(a)所示,圖(b)、(c)分別是它的直流通路和交流通路。由交流通路看,三極管的集電極是交流地電位,輸入信號ui和輸出信號uo以它為公共端,故稱它為共集電極放大電路,同時由于輸出信號uo取自發射極,又叫做射極輸出器。
IBQ =(Vcc–UBEQ)/[RB +(1+b) RE] ICQ = bIBQ,UCEQ=Vcc–ICQRE
(二)性能指標分析
1.電壓放大倍數
2.輸入電阻
R?L=RE//RL
3.輸出電阻
共集電極電路特點 共集電極電路用途
1.Uo與Ui同相,具有電壓跟隨作用 1.高阻抗輸入級
2.無電壓放大作用 Au<1 2.低阻抗輸出級
3.輸入電阻高;輸出電阻低 3.中間隔離級
一、共基極放大電路
共基極放大電路如下圖所示。由圖可見,交流信號通過晶體三極管基極旁路電容C2接地,因此輸入信號ui由發射極引入、輸出信號uo由集電極引出,它們都以基極為公共端,故稱共基極放大電路。從直流通路看,也構成分壓式電流負反饋偏置。
(一)求“Q”略
(二)性能指標分析
RO=RC
(三)特點:共基極放大電路具有輸出電壓與輸入電壓同相,電壓放大倍數高、輸入電阻小、輸出電阻大等特點。由于共基極電路有較好的高頻特性,故廣泛用于高頻或寬帶放大電路中。






















返回頂部
刷新頁面
下到頁底