一、實驗目的
1.精確測量中高值電阻(單橋)
2.掌握電橋測電阻的原理和方法
二、實驗原理
電阻是電路的基本元件之一,電阻的測量是基本的電學測量。用伏安法測量電阻,雖然原理簡單,但有系統誤差。在需要精確測量阻值時,必須用惠斯通電橋,惠斯通電橋適宜于測量中值電阻(1~10Ω)。

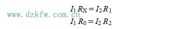
惠斯通電橋的原理如圖l所示。標準電阻R0、R1、R2和待測電阻RX連成四邊形,每一條邊稱為電橋的一個臂。在對角A和C之間接電源E,在對角B和D之間接檢流計G。因此電橋由4個臂、電源和檢流計三部分組成。當開關KE和KG接通后,各條支路中均有電流通過,檢流計支路起了溝通ABC和ADC兩條支路的作用,好象一座“橋”一樣,故稱為“電橋”。適當調節R0、R1和R2的大小,可以使橋上沒有電流通過,即通過檢流計的電流IG=0,這時,B、D兩點的電勢相等。電橋的這種狀態稱為平衡狀態。這時A、B之間的電勢差等于A、D之間的電勢差,B、C之間的電勢差等于D、C之間的電勢差。設ABC支路和ADC支路中的電流分別為I1和I2,由歐姆定律得:

兩式相除得

(1)式稱為電橋的平衡條件。由(1)式得

即待測電阻RX等于R1/R2與R0的乘積。通常將R1/R2稱為比率臂,將R0稱為比較臂。
三、實驗儀器
箱式直流單臂電橋,導線若干,待測電阻。
四、實驗內容和步驟
1.將RN及功能選擇檔均選擇為“單橋”。
2.打開電源,按下2mV檔,調節調零電位,將讀數調零。
3.按下電壓表“接入鍵”、200mV鍵。
4.接入Rx初步設定R3.根據Rx/R3的比值,設定R1,R2。
5.按下B,G按鈕,逐步調節R3(從高位到低位,使V接近等于0)。
6.重復上述步驟,多次測量記錄數據。
五、實驗數據與處理

六、誤差分析
1.電源儀器試用時間長,電壓偏小。
2.導線磨損致使電阻分布不均勻。
3.檢流計靈敏度可導致偶然誤差增大。
4.電阻使用時間較長,有損壞。
5.元器件本身存在的誤差。


返回頂部
刷新頁面
下到頁底