一、LC串并聯電路定性認識
在LC電路中,感抗和容抗相等時對應的頻率值稱為諧振頻率,如下圖1所示。在接收廣播電視信號或無線通信信號時,使接收電路的頻率與所選擇的廣播電視臺或無線電臺發射的信號頻率相同就叫做調諧。

圖1 感抗與容抗曲線
LC串聯諧振電路的特點:
LC串聯諧振電路是指將電感器和電容器串聯后形成的,且為諧振狀態(關系曲線具有相同的諧振點)的電路,如圖2所示。在串聯諧振電路中,當信號接近特定的頻率時,電路中的電流達到最大,這個頻率稱為諧振頻率。
圖2 LC串聯諧振電路及電流和頻率的關系曲線
不同頻率信號通過LC串聯電路的條件如圖3所示。由圖可知,當輸入信號經過LC串聯電路時,根據電感器和電容器的特性,信號頻率越高電感的阻抗越大,而電容的阻抗則越小,阻抗大則對信號的衰減大,頻率較高的信號通過電感會衰減很大,而直流信號則無法通過電容器。當輸入信弓的頻率等于LC諧振的頻率時,LC串聯電路的阻抗最小。此頻率的信號很容易通過電容器和電感器輸出。此時LC串聯諧振電路起到選頻的作用。

圖3 信號流過LC串聯電路
LC并聯諧振電路的特點:
LC并聯諧振電路是指將電感器和電容器并聯后形成的,如圖4所示,在并聯諧振電路中,如果線圈中的電流與電容中的電流相等,則電路就達到了并聯諧振狀態。在該電路中,除了LC并聯部分以外,其他部分的阻抗變化幾乎對能量消耗沒有影響。因此,這種電路的穩定性好,比串聯諧振電路應用得更多。

圖4 LC并聯諧振電路及電流和頻率的關系曲線
圖5所示為不同頻率的信號通過LC并聯諧振電路時的狀態,當輸入信號經過LC并聯諧振電路時,同樣根據電感器和電容器的阻抗特性,較高頻率的信號則容易通過電容器到達輸出端,較低頻率的信號則容易通過電感器到達輸出端。由于LC回路在諧振頻率fo處的阻抗最大,諧振頻率點的信號不能通過LC并聯振蕩電路。

圖5 信號流過LC并聯電路
二、LC串并聯電路定量認識
LC串聯選頻電路的幅頻特性、通頻帶和選擇性。
LC串聯諧振電路回路廣泛地用于超外差收音機的選頻電路之中,如輸入回路、變頻電路、中頻電路等。

上圖為一LC串聯諧振電路,其中R表示線圈L的損耗電阻。該電路的交流阻抗為:
,當回路發生諧振時,
故回路的諧振頻率為:
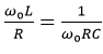
。該串聯電路諧振時的特點是,回路的阻抗最小且Z0=R;信號電壓一定時,回路的電流最大且I0=Vs/R;電感或電容兩端的電壓最大,且是信號電壓的Q倍。Q的定義為:
,Q叫回路的品質因數。
1、幅頻特性
LC串聯諧振電路的電流:

為方便起見,通常用電流的相對比值(稱歸一化)來表示串聯回路電流的幅頻特性:
利用上式可畫出下圖的幅頻特性曲線(即諧振曲線),從曲線看出:Q值愈大,曲線愈尖銳,回路的選擇性愈好。

2、通頻帶
滿足
(即0.707)的頻率認為可以通過回路,通過回路的頻率范圍稱通頻帶,通頻帶的寬度用B表示

由此可見: Q值越低,通頻帶越寬,Q值越高,通頻帶越窄。
3、選擇性
回路的選擇性通常用諧振曲線的矩形系數Kr來表示,Kr定義為a下降到0.1時的頻寬B0.1與a下降到0.7時頻寬B0.7的比值
,R、L、C串聯回路的矩形系數為:

理想矩形系數Kr=1,而LC串聯回路諧振曲線矩形系數較大,因此選擇性較差。
LC并聯選頻電路

圖中R表示回路的等效損耗電阻。由圖可知,LC并聯諧振回路的等效阻抗為:
2、LC并聯回路諧振頻率為:
3、LC并聯回路諧振時,回路的等效阻抗為純電阻,阻值最大:
信號源電流與振蕩回路中的支路電流的關系:

上式表明:LC電路諧振時,支路電流近似為總電流的Q倍,通常,Q>>1,所以,諧振時LC并聯電路的回路電流比輸入電流大得多。也就是說,在諧振回路中外界的影響可以忽略。這個結論對于分析LC正弦波振蕩電路是十分有用的。
4、LC并聯諧振回路的頻率響應
LC并聯回路具有選頻特性。在諧振頻率fo處,電路為純阻性(V與I無相差)阻值最大。在f<fo處,電路呈電感性。在f>fo處,電路呈電容性。

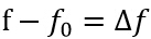
請勿誤解,此圖并不是LC并聯電路的幅頻特性曲線,只表示部分意思
Q 越大,諧振時Zo越大,振幅特性曲線越尖銳,在f=fo附近相頻特性變化越快,選頻性能越好。對相同的Δφ而言,Q值越大,對應的Δf越小,因此頻率的穩定性越好。


返回頂部
刷新頁面
下到頁底