一. 定義與電路符號
理想變壓器也是一種理想的基本電路元件。為了易于理解,我們耦合電感的極限情況來引處它的定義。
圖7-6-1(a)是耦合電感的原理結構與磁場分布,圖中N1,N2分別為初級與次級線圈的匝數。定義n=N2/N1,n稱為變必,也稱匝比。
理想變壓器的有四個理想化條件:
(1) 無漏磁通,即Φs1=Φs2=0,耦合系數K=1,為全耦合,故有Φ11=Φ21,Φ22=Φ12。
(2) 不消耗能量(即無損失),也不貯存能量。
(3) 初、次級線圈的電感均為無窮大,即L1→∞,L2→∞,但
為有限值。證明如下:

; 
即在全耦合(K=1)時,兩線圈的電感之比,是等于其匝數平方之比,亦即每個線圈的電感都是與自己線圈匝數的平方成正比。
(4) 因有K=1,L1→∞,L2→∞,故有
→∞。


圖7-6-1 理想變壓器的定義與電路符號
滿足以上四個條件的耦合電感稱為理想變壓器?梢娎硐胱儔浩骺烧J為是耦合電感的極限情況。即K=1,L1→∞,L2→∞,M→∞的情況,它純粹是一種變化信號的傳輸電能的元件,但它與耦合電感在本質上已不同了。耦合電感是依據電磁感應原理工作的,是動態元件,需要三個參數L1,L2,M來描述;而理想變壓器已沒有了電磁感應的痕跡,是靜態元件,只需要一個參數n來描述。理想變壓器的電路符號如圖7-6-1(b),(c)所示。
理想變壓器是電路的基本無源元件之一。工程實際中使用的鐵心變壓器,在精確度要求不高時,均可用理想變壓器作為它的電路模型來進行分析與計算。
二. 伏安方程
從圖7-6-1(a)看出,由于無漏磁通,故穿過兩個線圈的總磁通相同,均為Φ=Φ21+Φ12=Φ11+Φ22。又由于圖中u1(t),i1(t)和Φ三者的參考方向互為關聯,u2(t),i2(t)和Φ三者的參考方向也互為關聯,故:
u1(t)=N1dΦ/dt
u2(t)=N2dΦ/dt
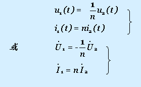
故有 u1(t)/u2(t)=N1/N2=1/n (7-6-1a)
或 u1(t)=u2(t)/n (7-6-1b)
又因為理想變壓器不消耗也不貯存能量,所以它吸收的瞬時功率必為零,即必有
u1(t)i1(t)+u2(t)i1(t)=0
故得 i1(t)/i2(t)=-u2(t)/u1(t)=-N2/N1=-n (7-6-2a)
或 i1(t)=-ni2(t) (7-6-2b)
式(7-6-1),(7-6-2)即為理想變壓器的時域伏安方程?煽闯觯
1. 由于n為大于零的實數,故此兩方程均為代數方程。即理想變壓器為一靜態元件(無記憶元件),已經沒有了電磁感應的痕跡,所以能變化直流電壓和直流電流。
2. 理想變壓器的兩線圈的電壓與其匝數成正比,兩線圈的電流與其匝數成反比,且當n>1時有u2(t)>u1(t),為升壓變壓器;當n<1時有u2(t)<u1(t),為降壓變壓器;當n=1是有u2(t)=u1(t),既不升壓也不降壓。
3. 在電路理論中,我們把能聯系兩種電路變量 的元件稱為相關元件,否則即為非相關性元件。電阻,電感,電容等均為相關性元件,而理想變壓器則為非相關性元件,亦即u1(t)與i1(t)之間,u2(t)與i2(t)之間,均無直接的約束關系,它們均各自由外電路決定。
當電路工作在正弦穩態時,式(7-6-1),(7-6-2)即可寫為向量形式,即

式(7-6-1)和(7-6-2)均是在圖7-6-1所示電壓參考極性與電流參考方向以及同名端標志下列出的。若線圈的同名端或電壓的參考極性,電流的參考方向改變了,則其伏安方程中等號右端的"+","-"號也應相應改變。例如對于圖7-6-2(a)、(b)所示電路,則其伏安方程為



; 圖7-6-2 理想變壓器電路
(a)同名端改變 (b)i2(t)參考方向和u2(t)參考極性改變
需要指出,從耦合電感的極限來定義理想變壓器只是一種方法,是為了使讀者易于接受。理想變壓器的本質定義應是從數學上來定義,即凡滿足式(7-6-1),(7-6-2)伏安方程的電路元件即為理想變壓器,其電路符號采用圖7-6-1(b),(c)表示,也只是因襲了傳統而已,并非一定要由線圈構成。
三. 阻抗變換
設在理想變壓器的次級接阻抗Z,如圖7-6-3(a)所示,則因有
; 
故得原邊的輸入阻抗為


于是可得原邊等效電路如圖7-6-3(b)所示。從式(7-6-4)看出:
(1) n≠1時,Z0≠Z,這說明理想變壓器具有阻抗變換作用。n>1時,Z0>Z; n<1時,Z0<Z。

p; 圖7-6-3 理想變壓器的阻抗變換作用
(2)由于n為大于零的實常數,故Z0與Z的性質全同,即次級的R,L,C,變換到初級相應為R/n2,L/n2,n2C。
(3) 阻抗變換與同名端無關。
(4) 當Z=0時,則Z0=0,即當次級短路時,相當與初級也短路。
(5) Z=∞時,則Z0=∞,即當次級開路時,相當與初級 開路。
(6) 阻抗變換具有可逆性,即也可將原邊的阻抗Z變換到副邊,如圖7-6-4所示。但要注意此時副邊的等效阻抗為Z0=n2Z。

圖7-6-4 阻抗變換作用的可逆性
(7) 阻抗在某一邊是串聯(并聯),則變換到另一邊也是串聯(并聯),如圖7-6-5所示。

; 圖7-6-5 理想變壓器阻抗變換作用的性質
由以上的全部敘述可見,理想變壓器既能變換電壓和電流,也能變換阻抗,因此,人們更確切地稱它為變量器。
四. 用受控源模擬理想變壓器
將式(7-6-1),(7-6-2)改寫為

根據此兩方程即可將理想變壓器用受控源電路來模擬,相應如圖7-6-6所示。
這種模擬的意義在于,開辟了實現理想變壓器的新途徑,使之集成化,微型化成為了可能。例如可用兩個回轉器級聯即可實現;同時也說明了理想變壓器也可視為一種點耦合元件,正因為如此,所以它可耦合直流分量,即變換直流電壓和直流電流。


圖7-6-6 用受控源模擬理想變壓器
五. 含理想變壓器電路的分析計算
含理想變壓器電路的分析計算,一般仍是應用回路法(網孔法)和節點法等方法,只是在列方程時必須充分考慮它的伏安關系和阻抗變換特性即可解決問題。
例7-6-1 用等效電壓源定理求圖7-6-7(a)電路中的
。



圖7-6-7 例7-6-1的電路
解:根據圖7-6-7(b)求開路電壓 ,從而得![]()
根據圖(c)求Z0,即
Z0=102×1=100Ω
其等效電壓源電路如圖 (d)所示。于是根據圖(d)得;
![]()
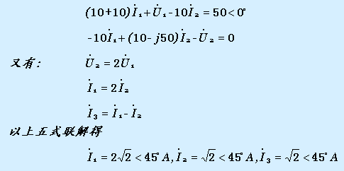
例7-6-2 圖7-6-8電路 ,![]()

圖7-6-8 例7-6-2的電路
解:設理想變壓器兩邊的電壓
分別為 則可列出方程:


返回頂部
刷新頁面
下到頁底