什么是網孔分析法
網孔分析法是電路基本分析方法的一種,以網孔電流為待求變量,按KVL建立方程求解電路的方法。
根據基爾霍夫定律:可以提供獨立的KVL方程的回路數為b-n+1個,網孔只是其中的一組。
網孔電流:沿每個網孔邊界自行流動的閉合的假想電流。 一般對于M個網孔,自電阻×本網孔電流 + ∑(±)互電阻×相鄰。
網孔電流 + ∑本網孔中電壓升。
網孔分析法的分析方法
1、選網孔電流為變量,并標出變量方向(常設為順時針方向)
2、按照規律,采用觀察法分析網孔
a、網孔中電流源視為開路,電壓源視為短路。
b、以KVL為基礎,列出網孔內的自導與互導的電壓方程
3、解網孔電流
4、由網孔電流計算其它待求量
注意:電流源及受控源的處理

網孔分析法的一般步驟:
。1)選定一組網孔,標明網孔電流及其參考方向;
(2)以網孔電流的方向為網孔的巡行方向,列寫各網孔KVL方程;
。3)求解上述方程,得各網孔電流;
。4)原電路韭公共支路的電流就等于網孔電流。
原電路公共支路的電流等于網孔電流的代數和。
網孔分析方程
【網孔電流】根據電流的連續性,可以假定一個電流在指定的網孔中流動,這種電流稱為網孔電流,對于電路中每一個結點,網孔電流流入一次又流出一次,所以當以網孔電流作為電路待求變量時,電路的KCL方程自動滿足,只需列寫b-n+1個網孔的KVL 方程。
【網孔分析法】以網孔電流為待求變量,按KVL建立方程求解電路的方法稱為網孔分析法。其網孔電流方程也稱為網孔方程。
【例3-2-1】圖3-2-1所示電路列寫網孔方程。

解:假定網孔電流
分別在網孔1、2、3中流動,網孔電流的參考方向如圖3-2-1所示。
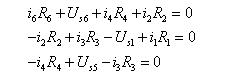
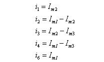
以支路電流為變量,列寫各網孔的KVL方程為

為得到以網孔電流為未知變量的電路方程,用網孔電流表示各支路電流,即有

將上述各式代入KVL方程,可得網孔電流方程

即為該電路的網孔方程,顯然,由此三個方程,可求解網孔電流。
網孔電流法的一般步驟
① 選網孔為獨立回路,并確定其繞行方向;
、 以網孔電流為未知量,列寫(b-(n-1))KVL方程(直接列出標準形式);
、 求解上述方程,得到 l 個網孔電流;
④ 求各支路電流,再根據題目要求求解其它電路參數;
網孔電流法的特點:僅適用于平面電路。

網孔分析法簡單例題
1、網孔分析法求解電流I

2、網孔分析法求解各支路電流



返回頂部
刷新頁面
下到頁底