什么是戴維南定理
戴維南定理(又譯為戴維寧定理)又稱等效電壓源定律,是由法國科學家L·C·戴維南于1883年提出的一個電學定理。由于早在1853年,亥姆霍茲也提出過本定理,所以又稱亥姆霍茲-戴維南定理。其內容是:一個含有獨立電壓源、獨立電流源及電阻的線性網絡的兩端,就其外部型態而言,在電性上可以用一個獨立電壓源V和一個松弛二端網絡的串聯電阻組合來等效。在單頻交流系統中,此定理不僅只適用于電阻,也適用于廣義的阻抗。戴維南定理在多電源多回路的復雜直流電路分析中有重要應用。
戴維南定理(Thevenin‘stheorem):含獨立電源的線性電阻單口網絡N,就端口特性而言,可以等效為一個電壓源和電阻串聯的單口網絡。電壓源的電壓等于單口網絡在負載開路時的電壓uoc;電阻R0是單口網絡內全部獨立電源為零值時所得單口網絡N0的等效電阻。
戴維南定理典型例子
戴維南定理指出,等效二端網絡的電動勢E等于二端網絡開路時的電壓,它的串聯內阻抗等于網絡內部各獨立源和電容電壓、電感電流都為零時,從這二端看向網絡的阻抗Zi。設二端網絡N中含有獨立電源和線性時不變二端元件(電阻器、電感器、電容器),這些元件之間可以有耦合,即可以有受控源及互感耦合;網絡N的兩端ɑ、b接有負載阻抗Z(s),但負載與網絡N內部諸元件之間沒有耦合,U(s)=I(s)/Z(s)。當網絡N中所有獨立電源都不工作(例如將獨立電壓源用短路代替,獨立電流源用開路代替),所有電容電壓和電感電流的初始值都為零的時候,可把這二端網絡記作N0。這樣,負載阻抗Z(s)中的電流I(s)一般就可以按下式1計算(圖2)式中E(s)是圖1二端網絡N的開路電壓,亦即Z(s)是無窮大時的電壓U(s);Zi(s)是二端網絡N0呈現的阻抗;s是由單邊拉普拉斯變換引進的復變量。


和戴維南定理類似,有諾頓定理或亥姆霍茲-諾頓定理。按照這一定理,任何含源線性時不變二端網絡均可等效為二端電流源,它的電流J等于在網絡二端短路線中流過的電流,并聯內阻抗同樣等于看向網絡的阻抗。這樣,圖1中的電流I(s)一般可按下式2計算(圖3)

式中J(s)是圖1二端網絡N的短路電流,亦即Z(s)等于零時的電流I(s);Zi(s)及s的意義同前。

圖2、圖3虛線方框中的二端網絡,常分別稱作二端網絡N的戴維南等效電路和諾頓等效電路。
在正弦交流穩態條件下,戴維南定理和諾頓定理可表述為:當二端網絡N接復阻抗Z時,Z中的電流相量I一般可按以下式3計算式中E、J分別是N的開路電壓相量和短路電流相量;Zi是No呈現的復阻抗;No是獨立電源不工作時的二端網絡N。

這個定理可推廣到含有線性時變元件的二端網絡。
戴維南定理注意事項
(1)戴維南定理只對外電路等效,對內電路不等效。也就是說,不可應用該定理求出等效電源電動勢和內阻之后,又返回來求原電路(即有源二端網絡內部電路)的電流和功率。
(2)應用戴維南定理進行分析和計算時,如果待求支路后的有源二端網絡仍為復雜電路,可再次運用戴維南定理,直至成為簡單電路。
(3)戴維南定理只適用于線性的有源二端網絡。如果有源二端網絡中含有非線性元件時,則不能應用戴維南定理求解。
(4)戴維南定理和諾頓定理的適當選取將會大大化簡電路。
應用戴維南定理解題
戴維南定理的解題步驟:
1.把電路劃分為待求支路和有源二端網絡兩部分,如圖1中的虛線。

2.斷開待求支路,形成有源二端網絡(要畫圖),求有源二端網絡的開路電壓UOC。
3.將有源二端網絡內的電源置零,保留其內阻(要畫圖),求網絡的入端等效電阻Rab。
4.畫出有源二端網絡的等效電壓源,其電壓源電壓US=UOC(此時要注意電源的極性),內阻R0=Rab。
5.將待求支路接到等效電壓源上,利用歐姆定律求電流。
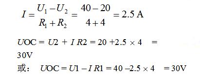
例1:電路如圖,已知U1=40V,U2=20V,R1=R2=4,R3=13,試用戴維寧定理求電流I3。

解:(1)斷開待求支路求開路電壓UOC

UOC也可用疊加原理等其它方法求。
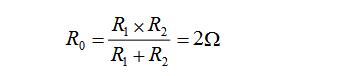
(2)求等效電阻R0

將所有獨立電源置零(理想電壓源用短路代替,理想電流源用開路代替)

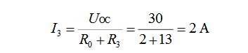
(3)畫出等效電路求電流I3


例2:試求電流I1

解:(1)斷開待求支路求開路電壓UOCUOC=10減去3乘以1=7V
(2)求等效電阻R0
R0=3
(3)畫出等效電路求電流I3

解得:I1=1.4A


返回頂部
刷新頁面
下到頁底